The Table of Terms is a list of Terms that I use to describe the Trinary Universe,
as such, they are defined as Trinary Terminology,
therefore the Terms may or may not,
correlate to known Definitions for these Terms.
- Atom
-
An Atom is what Sir Isaac Newton called “Atomos”
based on what the Greek philosopher Democritus wrote about back around 466 BC:
stating that Atomos was a piece of matter that could be divided
and continue to be divided till eventually, you could not divide it anymore.
-
Atom's have 3 State Change: Solid, Semisolid, and Invisible, so just like Atomos,
this division has 3 States that define this Division: Solid is the Matter before you divide it,
Semisolid is the Matter as you are Dividing it,
and Invisible is Matter when it can no longer be Divided,
this is what Sir Isaac Newton called “Trinity”:
The Father, Son and Holy Ghost or Spirit is known as Mother Nature.
The Atom is created by the only 3 things that exist in the Universe:
Light, Darkness, and Neutrinos.
- Antichrist
-
The term Anti means against, the term Christ means Deity or Spirit,
which is an Entity that does not Physically Exist,
combined the term means those that know that Christ was Inserted into the Bible during the 3rd Century,
this would mean that they did not believe Christ was real,
in fact, they believe Christ is a Lie,
People who are Antichrist are against the Term Christ,
since it is a Lie that was inserted into the Bible to make Jesus appear as two People,
because there is only one Jesus in the Bible and Sinners Deny his Name 3 times: Jesus Bar Abbas,
he was the person who fought against the Roman Empire for their Use of Money and Taxation,
which is still going on to this day, because of the Sin of Denial and the Use of Money.
The 1st Antichrist in History would have been Galileo Galilei,
he would have been burned alive or exiled if he had not changed his mind about stating the truth about Christ,
as would have the 2nd Antichrist in History:
which would have been Sir Isaac Newton
and the 3rd Antichrist in History would be Jeffrey Scott Flesher who wrote this book,
and he is sure that some Insane Religious person would kill him for stating the Truth,
but this is Science and that means it is all about the Truth,
and not some stupid belief that there were two Jesus's and two God's in the Bible,
that is just for Stupid people to believe, and they will always kill in the Name of Jesus or God,
because they are Sinners and do Evil things.
For the Record: Being an Antichrist is a Good thing,
it means that you do not believe the Lie that was inserted into the Bible to make Money a lessor Sin,
as if you can have a lessor of two Evils,
because it is about owning up to the Truth,
and not defending a Lie,
it is about the Truth and that Truth is the Light without Darkness,
and that is God according to Sir Isaac Newton,
Christ created a Paradox in the Bible,
it had two Jesus's being treated as if they were two people,
and that is Insane,
there is no debate about the truth written in the Bible,
even with the Insertion of Christ,
there is no way you can convince me that Jesus was a Common Name,
and the fact that Christ is not actually a Real Name,
it is a Title for a Deity that by definition does not Physically Exist,
so what was Jesus Christ's last name?
Bar/Abbas,
the Man that was actually Crucified on the Cross for fighting for the People against Money and Taxation.
- Ball Lightning
-
Ball Lightning is a very rare natural phenomenon cause by Lightning,
it is also one of the least known because of how rare it is, but it is documented,
and I do not need to change the Definition, but only to point out that this is not Matter Lightning.
The shortest explanation is that Lightning can become so intense that the bands of Light separate by frequency,
which is modulated by the Trinary Energy, this forces the Darkness to the outside,
which would give it the appearance to have a Dark glow to it, but it is a very intense Ball of Light,
and is not connected to Lightning directly,
nor has it ever according to Nikola Tesla who said he had seen one in Colorado while doing experiments with Lightning,
and many more reports, say that the Ball of Light had a Dark Glow and a very intense densely packed core,
which seems to float down from the Sky,
then travel erratically till it would hit something that would ground it out,
causing houses to burn down, trees to catch fire and so on.
Its size can vary from the size of a marble to the size of a large beach ball.
I do believe that it can be created artificially with Lightning,
but that would require a lot of advanced technology.
In Trinary Science there is a Theory that Trinary Engines are born from Ball Lightning.
Ball Lightning has been recorded with Full Spectrum video recorders in Earths orbit,
they are referred to as UFO's,
and proof that they are Intelligent,
and are just baby Trinary Engines that fly around the planet all the time.
Nikola Tesla thought that it was rare that Ball Lightning came down to Earth,
since it has its own Gravity,
so he thought that they must fly around the Planet,
and thought that most UFO sightings were just Ball Lightning encounters.
Newton wrote about seeing Ball Lightning,
and accounts of others,
and thought another about it to write it down,
although he did not offer any Theories,
he did say they seem to dissipate into any object they touch,
Newton also made the same observation,
and noted that they can burn down houses,
Tesla once burned down a barn trying to make Ball Lightning.
-
I define Ball Lightning as being a Ball of White Noise,
this does not mean its White,
since White Light has all the Colors of the Rainbow in it,
Ball Lightning comes in Many Colors,
I talked about seeing a Pink one as a child as it floated into a room,
where my family was watching TV,
and we all saw it at the same time,
and changed colors a few times, to a Green,
and may even Blue, many colors have been Reported throughout time.
All reports of close encounters left most people thinking they were alive,
you can do research into this and find more evidence by firsthand reports,
that indicate they have Intelligence,
avoiding obstacles,
moving at high speeds,
making right-angle turns,
and they even depict them as looking like Spacecraft,
Chariots of the Gods has more proof for Ball Lightning then anything else,
and in fact, the Bible talks about Ball Lightning,
they call them Angels: according to Newton...
Angels have appeared over Jesus's,
and others heads;
some being those that were born on 25 December,
like Horus, Mithras, Krishna, Dionysis and Other Pagan Gods,
clearly seen as a Halo,
and known as the Lamb of God,
because Sheeple believed it was the sign of a Deity,
and it was described as Crown or Corona,
with Light Rays;
Newton said this Represented people who were Touched,
or Touched Ball Lightning,
even Thor was based on this Knowledge of Lightning Balls,
that shot out of his Staff of Power or Hammer,
but Newton said the Hammer was a Crystal Ball,
inside was Ball Lightning,
it was used to provide Gravity,
and if welded like a Hammer,
its Energy would be released,
if the Crystal Ball Shattered,
causing Thunder,
and Releasing the Lightning inside it...
I do not think this was a Weapon;
this is Science at its best,
almost lost Science because of what Newton said about Christ;
so is it ironic that the Symbol of Jesus Christ is Ball Lightning,
and it is also Thor's Hammer,
how we weave Myth into Legend,
when common sense and Science explains much of what is written in the Bible,
and it is why Newton wrote more about the Bible than Science,
because it is a Fact that Ball Lightning is a symbol of Christ,
and God is All Light without Darkness,
so God is the Ball Lightning,
and Tesla said the Light was Everything,
so Ball Lightning is the Origin of Everything,
its Proof that Trinary Engines are alive,
so all the Heavenly bodies are alive,
because Ball Lightning is just Baby Trinary Engines,
so now we know how our Moon was born,
our Planet gave birth to it,
so Ball Lightning or Baby Trinary Engine,
what better describes Gods work.
Now if they turn out to be UFO's,
that would explain everything;
what will really rack your mind,
is that we can use them to build Spacecraft,
that is how our Planet was built,
and it is the best Spaceship I know of.
- Buttnaca
-
Buttnaca is a Concept that you can get an Oxygen Bottle and a hose,
stick the hose up your Ass, and fill the Bottle with Gas,
that can then be used to fuel the World,
and solve its Energy needs...
Butt the Buttnaca takes it to another Level of Anal Entertainment,
that will blow more than your mind,
it will blow your paints off with a ButtZooka...
Buttnaca
https://www.youtube.com/watch?v=Y1A4tshvbqI&index=3&list=PLR0QoztQVGtiMoBfkrjqEjj8v6QOLOMFf
- Copyright
-
Copyright is part of the Darkside Laws of Moses,
it is used to Legally take what does not belong to you,
which is words and spells that makeup Concepts and Ideas, and all comes down to Money.
-
A Lawyer would never sell you words that he could not steal back,
making all Legal Transactions are up to the next highest bidder,
by defining words in ways that make people liable for using them in a way that is a crime,
is what all Laws were created to take away from People,
and that is their Freedom to do anything,
Laws do not give you Rights by making those that do not agree, not Left,
so its better to be Left then it is to be Right,
so never use Copyright when you can use CopyLeft,
Copyright is Evil, but you can live with a CopyLeft by.
-
Do not confuse Copyright for a Trinary CopyRight,
it is not like the Mainstream version of it,
the concept is No Law, No going to Court,
No Lawsuits, No Slandering,
No Fighting, No Wars, No Money,
and no more you know what,
BS, just the Rights that go with the Copy.
- Copyleft
-
Do not confuse Copyleft with Trinary CopyLeft,
I do not know the difference,
so I get confused,
basically it removes all Liability for anything written or said,
but at the same time,
the Author takes responsibility for what they wrote or said,
so retrain Authorship.
- Dimensions
-
Dimensions are described in terms of physical size, with words like Width, Height and Depth,
but when we remove 1 of these dimensions,
and we have 2 dimensions,
in normal space, this can be viewed as width or height,
or any combination of width, height, and depth,
but in reality, those labels have no meaning in dimensions less than 3,
because if we have 2 dimensions,
and we remove 1 more dimension,
then we can only view it as having only 1 dimension,
so labels like width, height or depth have no meaning,
so if we remove 3 dimension we have 0 dimensions,
and space can not exist without dimensions,
and now its clear that width, height, and depth had no meaning.
-
A Dimension always starts at the center of mass of every Atom in the Universe,
then descends from that point, so the 2nd dimension is inside the atom,
and the 1st dimension is inside the 2nd dimension,
and the 0 dimension is inside the 1st dimension.
-
Only Trinary Energy can exist in the 0, 1st and 2nd Dimensions,
and each dimension has a specific type of Energy, the 0 Dimension is a Floating Ground,
and all Energy Flows from it,
the 1st dimension control signals that are sent to the 2nd dimension,
where all changes are made in the 0 Dimension, the 3rd dimension contains these other dimensions,
but they are only inside of Atom, which is confusing,
but we are inside of an Atom we call the Universe,
and the Earths core is actually an Atom, as well as the Sun and Galaxy,
so Atom's contain other Atom's of various sizes, but to understand how we can be inside of an Atom,
would require a point of view of God looking at us under a microscope,
because it is all a point of view in dimensions above 3.
-
Space is defined as having 3 Dimensions,
each are Single Dimensions, numbered 1, 2 and 3,
the 3rd dimension is considered normal Space,
it consists of 0, 1, 2 and 3 dimensions,
the 0 Dimension has no Space.
- Energy
-
Energy is defined as physical matter:
that can be used to fuel or energize something in a way that it can be transformed from one form into another,
like water can be transformed into Oxygen and Hydrogen, and when you burn them,
it transforms back into water,
so Energy can not be Created nor Destroyed so Energy is Eternal,
it can only be transformed from one form into another,
and there are all kinds of Energy, for example, Energy is Atom's,
these Atoms have a Frequency and a wavelength,
so they form Light, Electricity, and Radiation,
and there are many types of Energy: Chemical reactions,
Kinetic, Potential, Radiant, Elastic, Thermal and the list goes on,
but all Energy is based on Atom's,
with the exception of Trinary Energy that Atom's are made of,
so Atom's could not exist without this type of Energy called Trinary Energy,
so its considered the same since you can not have one without the other,
but everything in the Universe is made of Atom's,
and they are made of Neutrinos and Trinary Energy.
- Ewer
-
A Pitcher or Jug, otherwise known as a Water Bag,
so it is a vulgar term for Ewe,
because they would cut out a Sheep's Stomach, Colon,
or even its womb,
and make a Water Bag out of it,
this is what the Shepard Herders would wear around their necks,
to remind the Sheep what will happen to them if they do not behave like good little Sheep,
in the middle of the Night,
I think this behavior is insane,
but as a Dog protecting the Sheep, the Wolves were not the only Predators out there,
so the term comes from the view of the Dog,
when the Dog has to protect Yew from Ewer ways in the middle of the Night,
witch is a reference to Darkside of behavior,
it is Crystal Clear this is Witchcraft,
because Yew allow Ewer ways to become known as Bestiality,
that is this altered state of Reality where Humans believe it is Natures way to Mate with other species of Animals,
such that Ewer ways are disgusting to people like Me.
Illustration: The Galaxy Spinning all Solar Systems at the same Rate
Full Size
- Galaxy Spinning at the same Rate, but not the same Speed.
-
I must point out that this is just one image and I just circled two Stars,
and then rotated the image,
I could have set up my Telescope, and took an Image of the Galaxy over time,
but it would take 266 Million years to complete it,
so I had to fake it to make a point,
but in reality,
they can measure some movement over many years that proves that this is what will happen over time,
so the image is fake but the data is not,
so the concept is the truth.
-
Henrietta Swan Leavitt is the person who gets credit for this discovery,
unfortunately, she died before she could complete her study of it,
but the notes she left,
made it clear that the Suns also known as Stars,
orbit at the same rate,
therefore there Sine and Cosine,
will be in the same Ratio,
but the Speeds where much faster than anticipated on the inner Tracks,
and they appear to be a near Circular Orbit,
the Arms are just debris field that is spun out do to Centrifugal force.
- Galattice
-
The Galattice is where the Trinary Universe stores its Memories,
in humans, its considered the Brain, but in Trinary Science the Brain only Accesses the Galattice,
which is just Energy that is located in the 2nd Dimension, and is stored in the Galaxies Energy Disk,
the nature of this arrangement is that the Universe works similar to Brains in all Lifeforms,
there are 3 sets of Brain Functions, the first is where Logic is Stored,
the second is where Reasoning is Stored, and the third part is where Memory is stored,
yet Brain Function alone does not explain thoughts or how they are stored or altered,
since all Trinary Numbers starts at 0,
we have the 0 Set of Brain Functions,
so this is a No Brainier,
this is where the Brain communicates with this Little Voice we all have in our head,
we do not use it to think with,
but more or less to talk to,
as if we are expecting other voices to answer,
and that is never good,
trust me,
I can play videos,
watch memories,
edit memories,
and watch them over and over again,
because of OCD,
and that is how I figured out this place exist,
and why few believe its Science,
because if the Galattice exist,
so does God,
and Normal People do not want to be lain to again,
first, they are lain to about God being a Deity that does not Physically Exist,
when the Bible was always very clear about what God was: All Light without Darkness,
and that is what the Galattice is made of,
so this is that place where God Exist,
and how God Exist,
so as Proof God Exist:
Light without Darkness is Energy,
and that Energy flows through all Life,
its recorded in our Brainwaves,
and there is no other explanation for how we can Talk to ourself,
or how we Dream, or have Out-of-Body experiences.
The Word or Spell Galattice has Greek origins from the word Galaxy,
combined with the German word Lattice,
meaning the Structure with an upper and lower band, in this case, Light and Dark,
or (+1) and (–1),
the 0 State is unseen, and sometimes dropped,
because it is function is to allow Energy to flow.
-
Our Mind is actually located in the Galattice,
our Brain only stores pointers to Memory in the Galattice,
this explains how we can go Out-of-Body,
and explains where we go when we die,
we actually never leave this place,
and only have access to it in your Dreams and Memories,
it may seem like you are the only one there at times,
and it is because we all have our own Resonate Frequency,
it is the Key to our SOUL,
it is the same place you call your Mind,
or anyone calls a Mind,
yet Physically its just Energy that continually flows through us while we are alive,
and that Energy Lives on in all Life,
and why some People Remember Past Lives,
and why that without it,
God would not exist,
and I would have no memory of what I did today,
I would just forge for food as most animals do,
instead of trying to understand the universe I live in,
so its only through this goal of having an Advanced Society,
that has a firm understanding of the Universe,
and accepting some concepts as Proof that God exist just like Newton, Franklin and Tesla said it did.
- Holly Ghost
-
The Holy Ghost is an Ancient Celebration of the Holy Ghost using Holly:
which is a genus of over 666 species of flowering plants in the family of Aquifoliaceae,
which over 66 species have gone extinct since Newton's days,
yet this practice still exists to this date.
-
Ilex is another term for Holly,
Witches used Ilex to make elixirs,
and this is where the use of these flowers came from,
such that the usage of Holly Ghost instead of Holy Ghost,
is to signify the usage of Holly to make a Witches Potions,
noting that Holly comes from the Ground,
and is therefore Grounded,
and also a Ground that Mother Nature provided,
note the Word Spelled Ground actually means to Ground Holly up into a Powder.
While other times its usage is by mistake,
Wizards use Spells,
but have a hard time Spelling them the same way twice,
but it can also be said that the letter L,
has another meaning witch is Legal or a Lie, so they are Synonyms,
by adding the extra L to Holy,
signifies the Legal Lie that was inserted into the Bible by removing the extra L to begin with,
since the original way the word was Spell was Holly,
it was like changing the Root of All Evil is Money,
into the Love of Money is the Root of all Evil,
witch was done when Christ was inserted to make Money less Evil.
- Magnetosphere
-
Magnetosphere
Full Size
-
Magnetosphere Image
https://image.gsfc.nasa.gov/poetry/educator/litho7.jpg
-
Magnetosphere
https://science.nasa.gov/heliophysics/focus-areas/magnetosphere-ionosphere
-
A magnetosphere is the region around a planet dominated by the planet's magnetic field.
Other planets in our solar system have magnetospheres,
but Earth has the strongest one of all the rocky planets: Earth's magnetosphere is a vast, comet-shaped bubble,
which has played a crucial role in our planet's habitability.
Life on Earth initially developed and continues to be sustained under the protection of this magnetic environment.
The magnetosphere shields our home planet from solar and cosmic particle radiation,
as well as erosion of the atmosphere by the solar wind - the constant flow of charged particles streaming off the sun.
-
Earth's magnetosphere is part of a dynamic, interconnected system that responds to solar,
planetary, and interstellar conditions. It is generated by the convective motion of charged,
molten iron, far below the surface in Earth's outer core.
Constant bombardment by the solar wind compresses the sun-facing side of our magnetic field.
The sun-facing side, or dayside, extends a distance of about six to 10 times the radius of the Earth.
The side of the magnetosphere facing away from the sun - the nightside - stretches out into an immense magnetotail,
which fluctuates in length and can measure hundreds of Earth radii, far past the Moon's orbit at 60 Earth radii.
All Celestial Bodies that have a Magnetosphere,
have a Trinary Engine,
and a Trinary Engine regulates the Frequency of that object,
and that in turn, regulates its rotational speed,
and its orbital speed,
as well as its Track,
as such, the Trinary Engine is responsible for creating,
and maintaining the Magnetosphere,
and is also responsible for when it reverses polarity.
The Earths Magnetosphere is a Dynamic Electromagnetic Force Field,
the Field is generated by the Planets Rotation,
and from the Core or Trinary Engines Force Fields,
as such, they are Polarized,
meaning the Earth has Polarity,
we call them North and South Poles,
and as such,
they are driven by an Electromagnetic Force Field,
and when this Polarity Reverses,
and it is already Shifting at the present time,
at some point, the Field will Collapse,
venting some of our Atmosphere into the Vacuum of Space,
until the Electromagnetic Force Field can rebuild.
The Magnetosphere also acts like a Force Field to large Objects like Asteroids or Comets,
as well as smaller Meteorites or Micrometeorites,
the Atmosphere itself only adds Friction,
that causes them to burn up,
so I imagine when the Planet reverses poles,
it will vent some of that Friction out into Space,
and without a Force Field,
the Planet will be bombarded with Meteorites or Micrometeorites.
Newton proved that God is the Force of Gravity,
and God is Light,
so we are talking about the Magnetosphere,
since it is just Electromagnetic Energy,
and that is all Light is,
so when the Planet reverses its poles,
the Planet will also temporally lose Gravity,
until the Electromagnetic Force Field can rebuild,
so I imagine all the Satellites will fall back to Earth,
at that time.
-
I calculated this would take a Minimum of 3 Minutes and 33 Seconds,
and that is a long time to go without a Magnetosphere,
this is based off the Speed of the Planet around its Sun,
and that is 66,666.666 Miles an Hour,
therefore it will take a Maximum of 6 Minutes and 66 Seconds,
that actually makes it 7 Minutes and 6 Seconds,
so let us hope it does not last that long.
- Matter Lightning
-
Matter Lightning is a very well documented phenomena caused when Lightning
or equivalent Lightning Generated Electricity Arc hits a substance that it can ignite,
and it will burn and appear to float in space, but will normally dissipate when the substance burns up.
This substance is normally silica-based, so power lines or the ground are good sources of material.
- Nebula
-
A Nebula (Latin for “fog”; pl. Nebulae,
or Nebulas) is an interstellar cloud of dust, hydrogen,
helium and other ionized gases. Originally,
nebula was a name for any diffuse astronomical object,
including Galaxies beyond the Milky Way.
The Andromeda Galaxy, for instance,
was once referred to as the Andromeda Nebula (and spiral galaxies in general as
“Spiral Nebulae”)
before the true nature of Galaxies was confirmed in the early 20th Century by Vesto Slipher,
Edwin Hubble and others.
- Numerology
-
The reason why most of Yew are Stupid,
is because of Mainstream and the way they Define Reality,
for example, this is how Mainstream defines Numerology:
Numerology is any belief in the divine or mystical relationship between numbers and events.
It is also the study of the numerical value of the letters in words, names, and ideas.
It is often associated with the paranormal,
alongside astrology and similar divinatory arts.
As it turns out:
Mainstream defines God as a Deity,
and the reason why, is that they are Satanic,
as proof: Satanic means they only tell you half Truths,
for example, God is both Physical and None Physical,
so if you ask God what God is,
God will tell you: IAM,
now the Letters I, A, M are Bible Codes,
so the letter “I” has to always refer to the First-Person,
and the letter “A” means to Append,
or to Add, so it is a Math Symbol,
and also a Bible Code,
and the letter “M” always refers to Me,
or Flesh,
and in the Bible:
IAM God: means: IAM Light without Darkness,
and without Darkness means without Neutrino Particles,
proving Mathematically that God Exist both as Physical and as None Physical Light,
proving that both Exist,
therefore it is my hypothesis that God is Physical and None Physical,
and only Satan would say that God is a Deity that does not Physically Exist,
because in Reality and only in your Mind does God either Physically Exist or God does not Physically Exist,
so think about this Logically: Deity means God does not Physically Exist,
and Christ is based on God being a Deity that does not Physically Exist,
much like Christ in History,
so now a Pattern of Logic is revealed in Magic known as Witchcraft,
I told you one thing and tell you another:
tale means to write a Story,
tell means to verbally speak those words,
but is often used to mean the same thing,
over a period of time, a Tale became known as a Lie,
as in, to Tale the Truth,
but in reality, its use is:
a fictitious or true narrative or story, especially one that is imaginatively recounted,
but in Math it is a number or total like:
“an exact Tale of the dead bodies”,
but if what they Tale you and what they tell you are not the Same,
it is a Half Truth,
because of only half of what they Tale or Tell you are the same,
and the Bible was very Clear about Sinners,
they will Live in Sin and Lie about it,
so what is the Truth about God:
either God Exist or God does not Physically Exist,
pick one right now and decide for yourself the Truth?
If you believe that God does not Physically Exist,
Legally you are Insane,
because the Bible states that God is All Light without Darkness,
and Sir Isaac Newton's book about Light proved that God exists,
and his Math proved what God is,
and that is Light without Darkness,
so the two agree with each other,
but Religion does not,
and that is because Satan is in charge of Religion,
and the Bible Proves this,
because only Satan tales you half Truths,
and if God Exist,
teaching you God does not Exist is a Lie,
and by Definition, if God does not Physically Exist,
God does not Exist,
and this is called Reverse Logic,
and only Satan uses it,
and why I do not care what Yew believe,
nor does the Trinary Universe,
Know it or No its Not,
and the Logic in this Statement is that only Satan would say No it Not,
for example: by defining God as a Deity,
you are teaching God does not Physically Exist,
in terms of God, this means !God,
and Gods symbol is 0 so its ! 0,
and in terms of Logic 0 means !,
Binary: 1 = True and 0 = False,
and False = !,
so its !! or Not Not,
and this Logic means No, as in False meaning Not,
as such, No its Not is the same as saying Not Not,
and Not Not means True in Logic,
but Known As: False Logic...
-
In True Logic,
Numerology is about Numbers and not about Religion,
nor is the Bible about Religion,
but Numerology is about the Bible,
and is also known as the Bible Code.
The Bible was written by Witches and Wizards in Witchcraft,
a Witch is a none Gender-specific Person who can Write,
a Wizard is someone that has the Knowledge to Write about,
so the Witch normally writes the Knowledge of the Wizard,
using Witchcraft,
and using Numerology,
you get the Rules for Bible Math.
In Numerology, there is a rule about Patterns in numbers,
and one such rule is called the Galactic Record,
each Record has a Track,
each Track is laid out with Trinary Mathematical Precision,
see Galactic Track Table,
which shows how the Tracks work,
and the math that was used to create them is in appendix.a.sh,
and the Trinary Science behind this is in chapter 4,
just understand that the Galaxy works like a Record Play,
and not like our Solar System works.
-
Rule 1: Adding Down: take any number and add down all its digits till there are only the required digits remaining,
for example: if you want 3 Digits Precision, given the number 123.321,
the equation is as such: 1 + 2 + 3 + . + 3 + 2 + 1 = 6.6,
therefore it was in 3 digit precession before doing the math,
and as a result of this math, it now has 1 digit of precession.
-
Rule 2: Adding Up: Never Subtract, always Add Up;
take any number and add up all its digits till there are only the required digits remaining,
for example: if you want 3 Digits Precision, given the number 123.321,
the equation is as such:
(–1) + (–2) + (–3) + . + (–3) + (–2) + (–1) = (–6.6),
therefore it was in 3 digit precession before doing the math,
and as a result of this math, it now has 1 digit of precession.
-
Rule 3: Subtraction:
take any number and subtract all its digits till there are only the required digits remaining,
for example: if you want 3 Digits Precision, given the number 123.321,
the equation is as such:
1 - 2 - 3 + . + 3 - 2 - 1 = (-4.0),
therefore it was in 3 digit precession before doing the math,
and as a result of this math, it now has 1 digit of precession.
-
The 3 Rules give you 3 different answers,
each have their own reason for using them,
and those reasons vary, but a good rule is as Such:
if you want to reduce a very large number: Add it Down,
if you need it as an Offset: Add it Up,
and if you need to find its minimal value: Subtract it.
Why would I want to reduce a number like 123.321?
Take the number 123,123,123,123,123,123,123,123,123,123,123,123,123.321321321321321321321321321321321321321,
now in my mind, I know this is only 13 groups of 123.321,
so its just 6666666666666.6666666666666,
and it is size is reduced,
and encrypted in a way that the original value is unknown,
so it is a Hash Value,
so why not use another method of hashing?
If I take the above number and reduce it,
I know that 6 + 6 = 12, and 1 + 2 = 3,
so the math divide by 2 comes into mind: 3333333333333.3333333333333,
but this is only because of the numbers,
so numbers are the keys to knowing Bible Code,
because only specific number combinations work this way,
its called Witchcraft,
and if I divide by 2 again I get 1666666666666.6666666666666,
now this is 1 with 12 6's,
now the number 12 shows up all the time in the Bible,
its 4 PI,
so if we sit around the Last Supper table,
and serve up every one of the 12 People at the table a 6th of that Pie,
we have 1 number as a left-over and that number is 1,
and in this case that is Jesus,
and the 1 refers to God,
and God is the Number 0,
so the numerology number 1.0 is Gods Number,
so never drop a decimal place just because it is 0;
so a PI/6 = 0.5235987755983,
and this is a strange Rule about Numerology,
if I have 0.x or x.0, where x is a number,
and is not equal to 0,
because that means God itself,
so the number in terms of God can be separated into a Group number based on Precession,
as such:
I look for a Pattern in the Number: 5235987755983,
first I group it: 523,598,775,598,3:
the number 3 is known as a Patter, so remove that patten, and we get 52,
so 1/6 of PI is 52...
so we have 13 Digits,
so Numerology has a rule that allows us to use the number of Digits in Math,
such that:
if I take 13 Digits: 1, 2, 3, 4, 5, 6, 7, 8, 9, 10
I get to 9 and I can not use anything Higher than 10 because that is God,
so I have to Substitute some other Symbol for them,
so I will assign them as such:
11 = Jack,
12 = Queen,
13 = King,
and over time the number 1 got to be known as the Ace,
and another term for Ace is Wizard,
because it was given more power than all the Others,
so as it turns out,
Cards are in the Bibles Code.
-
There are many more rules in Numerology,
but this is not a book about Numerology,
this is only how I use the Math to decipher the Bible Codes,
and in Trinary Math God is the number 0,
and the numbers +/-1 are its State changes,
so it is absolute value of |+/-1| is 1,
so take 1 and add God to it, and get 10,
that is Numerology,
but the Science behind,
is that all Atoms have 3 Force Field Rings of Power,
the Electron and Trinary Particle,
that has an Atomic Number of 0,
and currently not listed in the Official Periodic Table of Elements,
but Theoretical Particles can be found there,
but neither of these Particles have Valences,
but all other Atom's do,
and a Valence is a Key or Receptor,
that other Atom's bind to,
and it is how Electrons orbit Atom's,
it orbits around there Valance or Force Field Rings,
and there are always 3 of them,
each Ring is 10x:
101 = 10
102 = 100
103 = 1,000
1/(101) = 0.10
1/(102) = 0.010
1/(103) = 0.0010
and in Numerology they are known as Ring Powers:
R | Powers of 10R
1 | 0.10
2 | 0.010
3 | 0.0010
As such: these are Powers of 10,
now to say God is 0 in Trinary Math and God is Powers of 10 in Trinary Ring Math,
should be easy to understand,
and any numbers need a Base,
and this is why in Numerology its base the Power of 10...
Powers of 10 is also why everything is in Inches, Feet, Yards, and Miles,
but those have a Ration of 12.
When using Rings of Power, for example Force Field Rings around Trinary Engines,
using a Planets Rings:
First = 0.0001,
Second = 0.001,
Third = 0.01.
The Rule of Separation in Powers of God (10):
such that: 666 ~ 666.0: 66.6, 6.66, 0.666: these are Patterns,
but is this the Mark of the Beast?
-
Numerology is about Harmony of Numbers,
and the Greek philosopher and mathematician Pythagoras of Samos (c. 580- c. 500 BCE):
is credited with discovering that the Harmonic Intervals correspond to unique whole number proportions,
by Dividing the vibrating string of a musical instrument in the ratio 1:2 produces the interval we call an octave,
and that by Dividing a string into a 3:2 ratio creates the interval we call the fifth,
producing the difference between do and sol,
and a fourth is the difference between do and fa,
represents a 4:3 division of a string,
and according to Wikipedia:
today, we recognize that these musical intervals are produced by,
in the case of an octave,
doubling the rate of vibration of a string (from 200 vibrations per second to 400),
as such:
a fifth is the difference between do and sol:
would be produced by two strings vibrating in the ratio of 200 to 300.
Kepler rigorously investigated auditory space through experimentation.
The followers of Pythagoras limited their musical system to the 3 intervals mentioned above.
Kepler sought to determine all of the possible harmonic ratios for sound,
and to inquire as to their causes in the domain of geometry and mathematics.
The Term Binomial means an algebraic expression of the sum or the difference of two terms,
so the term applies to Binomial Sounds,
and in Trinary Science,
this is how this knowledge is used:
So in Numerology the Mark of the Beast is measure by the Frequency it resonates at,
and to understand this concept,
you must understand Music,
because Kepler based his Math on the Harmony of the World...
I borrowed some music concepts that related to what Kepler knew...
In music from Western culture,
a sixth is a musical interval encompassing six note letter names or staff positions (see Interval number for more details),
and the major sixth is one of two commonly occurring sixths.
It is qualified as major because it is the larger of the two.
The major sixth spans nine semitones.
Typically, the triad is a major triad and the additional sixth interval is major (major sixth chord).
For example, a major sixth chord built on C (denoted by C6, or CM6) consists of the notes C, E, G,
and the added major sixth: A.
The cent is a logarithmic unit of measure used for musical intervals.
Twelve-tone equal temperament divides the octave into 12 semitones of 100 cents each.
Typically, cents are used to express small intervals,
or to compare the sizes of comparable intervals in different tuning systems,
and in fact, the interval of one cent is too small to be heard between successive notes.
In music theory,
a perfect fifth is the musical interval corresponding to a pair of pitches with a frequency ratio of 3:2,
or very nearly so.
In classical music from Western culture,
a fifth is an interval from the first to the last of five consecutive notes in a diatonic scale.
As the frequency of a pitch doubles in value,
the musical relationship remains that of an octave.
Thus, for any given frequency:
rising octaves can be expressed by the formula:
f * 2x,
where x is a whole number.
So for a frequency of 27.5 (the lowest A on the piano):
An octave higher is 27.5 * 21 = A 55.
An octave above that is 27.5 * 22 (two squared) or 27.5 * 4 = A 110.
An octave above that is 27.5 * 23 (two cubed) or 27.5 * 8 = 220,
and the octave above that is 27.5 * 24 or 27.5 * 16 = 440,
which is the standard tuning note for the orchestra.
Thus, octaves rise exponentially as 27.5, 55, 110, 220, 440, 880, 1760 and 3520,
the fundamental frequency of the highest A on the piano.
Every octave is twice the frequency of the previous octave.
Numerology is about this Relationship,
if you take 0 as a special case,
each of the 12 Zodiacs is accounted for,
and you can use any of these values to make Sense of Cents,
then wonder why 41.666 * 24 = 666.66,
and why the number 42 is the Universes answer to everything,
and why the Bible stops at chapter 44.666,
because:
The number 42 is,
in The Hitchhiker's Guide to the Galaxy by Douglas Adams,
the "Answer to the Ultimate Question of Life, the Universe, and Everything",
calculated by an enormous supercomputer named Deep Thought over a period of 7.5 million years.
Unfortunately, no one knows what the question is.
So what does the number mean in the Bible if I do an internet search:
Forty-two is a number with a direct connection to the coming Antichrist:
his Evil efforts will last 42 months in the end time, and thus, 42 is firmly associated with him.
Then the angel gave me a measuring rod like a staff, saying:
“Arise and measure the temple of God and the altar... and they shall trample upon the holy city for forty-two months”
(Revelation 11:1 - 2)
Revelation 13 states that the end time Beast power will be so powerful that NO ONE will be able to make war with him.
He will speak great boastful things and be given the authority to do so for 42 months (Revelation 13:4 - 5).
Forty-two is made up of 6 and 7, showing a link between mankind and God's spirit and a link between the Antichrist,
and Jesus Christ.
Appearances of the number forty-two:
The phrase “little children” appears forty-two times in the Old Testament.
The tribe of Levi was given 48 cities as part of their inheritance in the land of milk and honey.
Six of these cities were to be designated as special “cities of refuge” (Numbers 6 - 7) leaving forty-two other cities.
King Ahaziah of Judah began his reign at 42 years old but was only on the throne one year (2Chronicles 22:2).
The children of Israel had 42 sojournings or wandering in the desert until they finally were given rest (Numbers 33:1 - 50).
When we substitute numerics for letters in Nimrod's name we find forty-two playing a role.
Nimrod's name equates to 294, which is 42 x 7. Forty-two is often found as a factor in Anti-Christian names.
Elisha and 42:
A group of young men (roughly 30 - 40 in age) began to make fun of the prophet Elisha after his friend
and mention Elijah was taken away from him in a fiery chariot.
They shouted “Get out of here, you bald guy!” to Elisha as he passed them by.
The prophet did not waste any time letting the young men know that what they were doing was unacceptable to God.
He turned, stared at them and cursed them in God's name.
Then two large female bears came out of the woods and tore to PIECES forty-two of the men (2Kings 2:24)!
Additional info on the Biblical Meaning of 42:
In the genealogical table of Jesus Christ's physical lineage in the book of Matthew,
the Greek word gennao is used 42 times.
Its correct translation is the word
“begat” because the lineage is through males who “begat” a son.
So what does the number 42 mean in Numerology?
42 in Hex is 66.
See Table Terms Music Numerology
-
Why does the Bible say the Number 666 is the Mark of the Beast?
If you look at the Galactic Track Table from the link above,
you might understand,
so the question is how did I get this Magic Number -333 Trinary Engines,
and the answer is String Facts,
do not confuse this with String Theory,
if I were to reverse engineer how I made this Table,
its clear I had to know how many Strings I needed,
and every Trinary Engine is a String,
it has a specif Frequency,
and ours has a range of 3.33 to 6.66,
how can I prove this is simple,
try every known number between 1 and a Trillion,
now you get it,
these are the only numbers that work,
Newton gave up after 13 by the way,
he believed that was the Maximum based on 3 PI.
So how do I prove it,
if you look at the math for the table in makeappendix.a.sh,
orbitDist=$(bc <<< `scale=13;((${galaxyRad} * ${trackNumber}) * 2) * ${pi} `);
galaxyRad=241828072282107.5071453596951;
is based on the size of the Galaxies Light in parsecs,
so it is what most Scientist would expect to be used,
so based on those numbers:
1,011,954,093,357,316,200 miles,
and it takes 88,330,000,000 days,
converted into Light Years would be what most Scientist would use,
so take what they would use,
and this is that number in days,
as proof:
1,011,954,093,357,316,200 * 88,330,000,000 = 477,354.850 miles an hour,
and currently how fast our Sun is orbiting the Galaxy,
looking at the table I have a Maximum speed of 666,666 and Minimum of 333,333 Mph,
f * 2x,
such that:
666/2 * (24) = 10,656
10,656 / 16 = 666
and you will notice that Track Frequency is based on minSpeed,
trackFreq=$(bc <<< `scale=16;.0000000000001 * ${minSpeed#-}`);
and this is based on Numerology,
and that means it is all based on Empirical Evidence,
so what is the Magic behind this number 666...
-
In Trinary Astronomy,
we can use the angle of Light to measure a Parsec in distance,
so how do these measurement systems we use work:
First assign a to our Magic number of 666,
such that:
666/2 = 333,
since we are talking about a radius,
so we have to divide by 2,
such that:
a = 666/2 * ( x ((1/12) * (1/5280)))
such that:
5280 * 12 = 63,360 inches in a Mile,
333 * ( 63,360 * ((1/12)*(1/5280))) = 1,
and 1 * 0.007299270073 = 0.007299270073,
that adds down to 1,
so dividing that by 3 gives us 0.00243309002433,
note it has a pattern of: 2433,
add it down: 6 + 3 + 3 ~ = 6 + 6 = 12 ~ = 3,
because this is 1 unit of distance,
so 3 equals 3 cycles of 3 Phases,
based on 63,360 inches,
add it down: 9 + 9 = 18 ~ = 9,
so in terms of speed: the 369 pattern is involved here,
and it is only a Ratio of the distance you cover,
so in terms of Speed,
the Electrons speed is relative to its size,
so in terms of Miles per hour,
we have to look at how much distance can be covered in a period of time,
for example: this plots the Force Field Rings around the Atom,
for the Sun, it gave us a ring that had our speed on it,
so what this speed is calculating,
is where is Life in this Range of things,
so the answer is this ring is located around this atom,
and it is orbital speed for this ring is 0.0000000000000001536041682 mph,
and that is something you have to wrap your mind around,
Trinary Math is based on where Life exist,
based on Maximum and Minimum values,
so think about the Sun, its Diameter is:
864575.9 Miles * (1/137) = 6310.77299011 / 3 = 2103 years Maximum in 1 Iteration,
that means the Sun must orbit the Galaxy in Iterations of 2103 years,
now using the Error Rate we know it is 2012 year,
now think about how far it can travel in 2012 years,
that is 1,348,031,952 miles, so this is the distance,
now we must average that distance since it has a high, low and average distance in a Helix shape orbit,
and that is what we do when we multiple 2012 by 333 equals 669,996 with an Error Rate its 666,666 miles an hour,
and that is the maximum speed of the Sun as it is Orbiting the Galaxy...
so is 666 the Mark of the Beast?
-
Numerology is very Old Math,
it was so old that Kepler had no idea how old it was,
it was old when the Bible was written,
and as it turns out,
that was not even during this Track of time,
so this is not Math that I created,
I create Trinary Math that uses Numerology,
and this Table proves the Mark of the Beast:
Table 36 Factors of 666 in Numerology ,
now from this Table, we know for a fact that 666 is the key Frequency for Track 666,
but how does this whole thing work as Trinary Science is to be proven in Chapter Trinary Mathematics.
Every Iteration the Zodiac takes on this Property,
and adds it to what you have,
so, for example, the 12th Zodiac is Pisces,
32 + 6.66 = 38.66 Hz,
in turn, this adds to the Precession needed to counteract the forces,
required to complete this Iteration,
keep in mind there are over 14 Thousand Iterations per Galactic Crossing,
and each is required to bring Harmony to the World according to Kepler,
so Newton understood some of this,
but enough to figure out the Math,
Tesla understood much more,
but could not get the funding to do experiments to prove any of this,
and I just found new Trinary Math that uses new Methods to Calculate what Newton had to do by Hand,
and Newton's math works just fine,
this just proves why,
and gives you a much simpler Math to do it.
We just moved into the 11th Zodiac Sign of Aquarius,
its Frequency is 30 Hz - 6.666 = 36.66 Hz,
and this is the Frequency of a Polarity Reversal,
to Calculate a Polarity Shift use this Formula:
Iteration in years * (Frequency * 0.00001 (0-3 - 4 Decimal points) ) * 2012 = Maximum Years between Magnetic Polarity Reversals,
(2012 * (30000030 * 0.00001)) = 300.00030 how many times it reverses in a half cycle,
300.00030 * 2012 = 603,600.60360 every years,
do not confuse this with this Formula for speed,
Iteration * Trinary Engines = Speed,
2012 (Iteration) * 333 = 669,996 mph.
Semi- tones |
Ration |
Cents |
Pytha- gorean |
Mean- tone |
Equal temperament |
Class |
Interval |
Frequency in Hz * 24 or 16 |
| 0 |
1:1 |
0 |
0 |
0 |
0 |
Perfect Unison Prime: 1:1 = 0 |
Diminished Second |
1/1 * 16 = 16 |
| 1 |
16:15 27:25 |
112 133 |
90 |
117 |
100 |
Minor second |
Augmented unison |
16/15 * 16 = 17.0666 |
| 2 |
9:8 10:9 |
204 182 |
204 |
193 |
200 |
Major second |
Diminished third |
9/8 * 16 = 18 |
| 3 |
6:5 19:16 32:27 |
316 298 294 |
294 318 |
310 269 |
300 |
Minor third |
Augmented second |
6/5 * 16 = 19.2 |
| 4 |
5:4 81:64 (Ditone) |
386 |
408 384 |
386 427 |
400 |
Major third |
Diminished fourth |
5/4 * 16 = 20 |
| 5 |
4:3 27:20 |
498 520 |
498 522 |
503 462 |
500 |
Perfect fourth: Diatessaron |
Augmented third |
4/3 * 16 = 21.333 |
| 6 |
45:32 25:18 |
590 569 |
612 588 |
579 621 |
600 |
|
Diminished fifth / Augmented fourth |
45/32 * 16 = 22.50 |
| 7 |
3:2 40:27 |
702 680 |
702 678 |
697 738 |
700 |
Perfect fifth: Diapente 4√5, |
Diminished sixth |
3/2 * 16 = 24 |
| 8 |
8:5 |
814 |
792 |
814 |
800 |
Minor sixth |
Augmented fifth |
8/5 * 16 = 25.60 |
| 9 |
5:3 4:5 27:16 |
884 906 |
906 |
890 |
900 |
Major Sixth |
Diminished seventh |
5/3 * 16 = 26.666 |
| 10 |
16:9 9:5 |
996 1018 |
996 |
1007 |
1000 |
Minor seventh |
Augmented sixth |
16/9 * 16 = 28.444 |
| 11 |
15:8 50:27 |
1088 1067 |
1110 |
1083 |
1100 |
Major seventh |
Diminished octave |
15/8 * 16 = 30 |
| 12 |
2:1 |
1200 |
1200 |
1200 |
1200 |
Perfect octave |
Augmented seventh |
2/1 * 16 = 32 |
Table Terms Music Numerology
| # |
Factors |
Equation |
Proof |
| 1 |
1 |
10,656 ÷ 1 |
10,656 |
| 2 |
2 |
10,656 ÷ 2 |
5,328 |
| 3 |
3 |
10,656 ÷ 3 |
3,552 |
| 4 |
4 |
10,656 ÷ 4 |
2,664 |
| 5 |
6 |
10,656 ÷ 6 |
1,776 |
| 6 |
8 |
10,656 ÷ 8 |
1,332 |
| 7 |
9 |
10,656 ÷ 9 |
1,184 |
| 8 |
12 |
10,656 ÷ 12 |
888 |
| 9 |
16 |
10,656 ÷ 16 |
666 |
| 10 |
18 |
10,656 ÷ 18 |
592 |
| 11 |
24 |
10,656 ÷ 24 |
444 |
| 12 |
32 |
10,656 ÷ 32 |
333 |
| 13 |
36 |
10,656 ÷ 36 |
296 |
| 14 |
37 |
10,656 ÷ 37 |
288 |
| 15 |
48 |
10,656 ÷ 48 |
222 |
| 16 |
72 |
10,656 ÷ 72 |
148 |
| 17 |
74 |
10,656 ÷ 74 |
144 |
| 18 |
96 |
10,656 ÷ 96 |
111 |
| 19 |
111 |
10,656 ÷ 111 |
96 |
| 20 |
144 |
10,656 ÷ 144 |
74 |
| 21 |
148 |
10,656 ÷ 148 |
72 |
| 22 |
222 |
10,656 ÷ 222 |
48 |
| 23 |
288 |
10,656 ÷ 288 |
37 |
| 24 |
296 |
10,656 ÷ 296 |
36 |
| 25 |
333 |
10,656 ÷ 333 |
32 |
| 26 |
444 |
10,656 ÷ 444 |
24 |
| 27 |
592 |
10,656 ÷ 592 |
18 |
| 28 |
666 |
10,656 ÷ 666 |
16 |
| 29 |
888 |
10,656 ÷ 888 |
12 |
| 30 |
1,184 |
10,656 ÷ 1,184 |
9 |
| 31 |
1,332 |
10,656 ÷ 1,332 |
8 |
| 32 |
1,776 |
10,656 ÷ 1,776 |
6 |
| 33 |
2,664 |
10,656 ÷ 2,664 |
4 |
| 34 |
3,552 |
10,656 ÷ 3,552 |
3 |
| 35 |
5,328 |
10,656 ÷ 5,328 |
2 |
| 36 |
10,656 |
10,656 ÷ 10,656 |
1 |
Table 36 Factors of 10,656 in Numerology
A Rule in Numerology allows me to use this fact:
42 in Hex is 66,
and 6 * 7 = 42,
and 4 + 2 = 6,
and 6 + 7 = 13 and 1 + 3 = 4,
so using 4 as the x in this formula for Music Numerology: f * 2x,
such that 24 = 16,
so we can confirm all these numbers in Numerology,
and 1 + 6 = 7,
and 3 + 4 = 7,
and another way of looking at this is asking what number 4 is,
and that is the intervals of the 3 Power Rings: 0-3: this equals 4,
I get: 666 * (24) = 10,656,
and finding all the factors of 10,656,
gives me the Table above,
and if I look the number 16 on this chart,
you will find 10,656 ÷ 16 = 666,
so 666 is the Mark of this Beast Mathematically.
- Pareidolia Syndrome
-
Pareidolia is a psychological phenomenon involving a stimulus from an image
or a sound which is perceived as significant,
this type of Pattern Recognition is broken down into 2 main parts,
the Pattern itself, and the Significance.
Pareidolia Syndrome is when a person with this condition tends to view the world this way, to begin with,
they perceive objects as patterns in their brain without even thinking about it,
because it is the normal way for them to think,
because they think in terms of images and not words,
so they assign meanings to each object like human, dog,
or any other object they encounter during the day,
and assign different meaning to each object even though some of them are in the same category as dogs,
I have 2 of them,
and they are very different,
and just like that, they tend to assign meaning to every pattern they see,
so things like Lightning patterns, Sun Spots,
or Clouds, take on names and shapes and have a history as old as the Universe,
as if they are telling you a story.
-
I know about this condition firsthand since I was born thinking like this,
and although its rare, its more common with Autistic people,
whereas Neurotypicals seem to actually have a hard time seeing patterns the Pareidolias see,
even after we play connect the dots,
but then to go along with the story that comes from attachments to the objects,
the imagination takes over, and I can sit watching empty space for hours without even blinking,
which is why this behavior is more noted in people like me who have an Obsessive Compulsive Disorder or OCD.
Other traits are Photographic Memories, but now that I have other health issues,
this issue has become a problem, as it does with most that suffer from it,
because it starts to run their life,
it is not like hearing voices telling you to do things, it is more of a ritual,
because they can not stop doing it,
so people that have Pareidolia Syndrome,
can not stop seeing patterns in things.
- Quarks
-
A Quark is an elementary particle and a fundamental constituent of matter.
Quarks combine to form composite particles called hadrons,
the most stable of which are protons and neutrons,
the components of atomic nuclei.
-
A Quark is an elementary particle and a fundamental constituent of matter.
Quarks combine to form composite particles called hadrons,
the most stable of which are protons and neutrons,
the components of atomic nuclei.
Due to a phenomenon, known as color confinement,
quarks are never directly observed or found in isolation; they can be found only within hadrons,
such as baryons (of which protons and neutrons are examples) and mesons.
For this reason,
much of what is known about quarks has been drawn from observations of the hadrons themselves.
I only mention Quarks,
to say that I do not talk about them much,
they are all Theoretical.
- Satanic
-
Satanic means backwards Logic,
as such: it also refers to backwards Morals.
In the Bible, Money is defined as being the Root of All Evil,
the Love of Money means that the Person who Loves Money is Evil,
as such: People who think Money is not Evil are Satanic,
whereas People who believe Money is Evil are not Satanic.
Live is a backward Spell for Evil,
so anything Optional you can not Live without is Evil,
for example, Food and Water are not Optional,
Money is, so if you can not get Food and Water without the use of Money,
then the Money is Evil,
because you can not live without it,
therefore use it to Kill people by Starvation,
or you can Pay someone to Kill someone for Money,
yet the Military and Police do it all the time,
and they also work for the Banks that Print the Money and Not Congress,
which makes them guilty of Treason against the Constitution,
proving they are Satanic,
and work for Satan,
yet I am Retired Military,
so I am also Satanic and a Sinner for using Money,
and I wrote this book knowing that,
so in order to Live with myself,
I have to acknowledge the World I live in,
because it is totally Satanic,
and it is because of Religion,
they believe that God and Christ are a Deity,
meaning they did not Physically Exist,
also defined as Insanity,
and why most people do not understand they are Satanic for using Money,
or Believing that God does not exist,
and that Christ did,
thus, Denying that Bar/Abbas was the true Savior,
but those that worked for Money knew he was a Threat,
so they Denied they knew Bar/Abbas,
and instead knew Christ,
thus, setting Bar/Abbas Free,
by Killing Christ,
which as it turns out is the same person according to both History and Sir Isaac Newton.
- Sheeple
-
Sheeple is a term that is used to describe people who believe in things that are not Real,
or that do not Physically Exist in the Universe,
or believe that Theories are Facts, because by definition,
those have not been proven to be the Truth if it were it would be known as a Fact,
but a Sheeple is not a Human, it is a Sheep with a Monkey head and that is all it is,
they are not real people, not even Real Sheep for that matter,
and it is because I was about 6 years old the first time I thought about it,
my Father said People are like Sheep, they only know that they Heard in the Herd,
and my Cousin Isaac Newton was the first person I know that actually coined the Word,
and it was in Reference to if People had the Lord as their Shepard,
because that implies they are Sheep,
so the Term Sheeple was something that was handed down from generations,
Masonic Sheep Jokes about Darwin's Evolution,
but as I grew Older this meaning took on a Darker Side.
-
The Word Real means it physically Exists in Reality, this term will lead to many arguments,
because the 0 Dimension does not Physically Exist as Space,
its void or null space,
nor does the number 0 in the Math (+1) + (–1) = 0,
but we know from Empirical Evidence that every Atom in the Universe goes through 3 State Changes,
and in one of those States it disappears, so a third of the time the Atom does not exist in space,
yet its Empirical Evidence that proves it still Exists, just not visually,
because we can only see 3 Dimensional Space,
so some will argue that is how God works, and I agree,
but a third of the time Atom's do exist to some degree,
only State 1 is physical, so God must also physically exist,
because that is the way God must work,
the Light without Darkness and the Darkness without Light bound together,
and also known as Matter and Antimatter,
so Sheeple do not believe this,
because they do not believe God Physically Exist,
and they believe that Christ does,
knowing that Christ is just a Deity,
and a Deity does not Physically Exist,
so its clear that when talking about Jesus Bar Abbas,
that if Christ did not Exist,
only Bar/Abbas would,
and he fought for Freedom,
because of the Roman Empires use of Money and Taxation,
and Sheeple Deny this to this Day,
even though that is what all Bibles state is a Fact,
and Sir Isaac Newton wrote about at length.
-
The difference between Sheeple and Wizards,
is that Sheeple believe that God never physically existed,
so God does not explain Atom's, whereas Wizards believe that God exist,
so God explains Atoms, and Sheeple believe that they can see the Light,
when Empirical Evidence proves that humans can only see the Darkness,
which is the Rainbow of Colors in the White Light of the Sun,
whereas God is all Light without Darkness,
so there are 3 types of Light:
Light without Darkness, and Darkness without Light,
and the Light that controls them, it is a massless Light,
also known as White Noise in White Light or Trinary Energy,
but the logic of Light without Light confuses Sheeple,
so they call the Darkness the Light and believe that is what they see,
so Sheeple define words and how to spell them to mean things they can understand,
so they read into words instead of just reading them.
We can use infrared cameras to film in total Darkness,
so does Darkness mean that there is no Light in it?
That is a question only a Wizard could answer,
because it is only in this Darkness can we see that the Light still exist,
even though we cannot visually see it, so this is the Light of God,
Wizards know that the Light has many Frequencies and Wavelengths in the Full Spectrum of Light,
and humans can only see a limited range of spectra of Light,
but that will not stop the Sheeple from arguing about what the Light of God is,
because they will never admit that God is Electricity,
because Light is Electricity at a different Frequency,
because Sheeple only use Emotions and Theories to explain Reality,
and Wizards only use Empirical Evidence,
and it is just a fact that to Sheeple,
God and Christ is a Deity,
proving they actually do not believe they Physically Exist,
and they believe that the Light is Good and the Darkness is Evil,
proving just how Stupid Sheeple are when it comes to understanding the Light without Darkness,
because there Science is based on Theories about General Relativity,
knowing that Einstein said that had Paradoxes without God,
and Religious people do not actually believe God Physically Exist,
as proof, if their Science is based on Mainstream Theory,
or the Godless Dynamic Universe,
they do believe God exists any more than those do not Believe in God at all,
since believing in Something that does not Physically Exist makes you Insane,
Sheeple are Insane.
-
It should be clear that Sheeple do not believe in Reality,
so they are insane by definition,
they do not believe in the Light of God Newton described,
as the Force of Gravity in all his Equations,
and they will never admit to the Truth of Science because they will never see the Light of God,
but to be clear, once they do, they are no longer Sheeple,
they are People who understand what the Light of God is,
but Wizards take it to a whole new level,
and just like to make Fun of how Stupid Sheeple are for not understanding God,
according to Newton or Tesla,
they had over 333 years to study Physics,
and Stupid Theories is the best they can do,
proving they are too Stupid to Survive the Ice Age coming in 2060,
and will go extinct,
in what the Bible said was the End of Civilization.
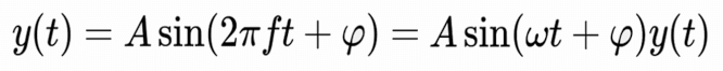
- Sine Wave
-
A sine wave or sinusoid is a mathematical curve that describes a smooth repetitive oscillation.
A sine wave is a continuous wave.
It is named after the function sine, of which it is the graph.
It occurs often in pure and applied mathematics,
as well as physics, engineering, signal processing, and many other fields.
Its most basic form as a function of time (t) is:
-
Full Size
-
where:
-
A = the amplitude, the peak deviation of the function from zero.
f = the ordinary frequency, the number of oscillations (cycles) that occur each second of time.
ω = 2 π f the angular frequency, rate of change of the function argument in radians per second.
φ = the phase, specifies (in radians) where in its cycle the oscillation is at t = 0.
-
When φ is non-zero, the entire waveform appears to be shifted in time by the amount φ/ω seconds.
A negative value represents a delay, and a positive value represents an advance.
- Sprite Lightning
-
Sprites are large-scale electrical discharges that occur high above thunderstorm clouds or cumulonimbus,
giving rise to a quite varied range of visual shapes flickering in the night sky.
They are triggered by the discharges of positive lightning between an underlying thundercloud and the ground.
Sprites appear as luminous reddish-orange flashes.
They often occur in clusters within the atmosphere above the troposphere at an altitude range of 50-90 km (31-56 mi).
Sporadic visual reports of sprites go back at least to 1886,
but they were first photographed on July 6, 1989, by scientists from the University of Minnesota and have subsequently been captured in video recordings many thousands of times.
-
Note: Nikola Tesla wrote that all Life is a Light Being in a Body of Flesh,
he also wrote about Ball Lightning,
and tried to reproduce it,
he said it was the Key to all Life.
- There are 3 types of Stars:
-
Light Star: Light without Darkness
-
Dark Star: Darkness without Light
-
Guiding-Light Star: has both Light and Darkness
The Light Star is a Trinary Engine used in Planets and Moons,
it is created with Light Energy.
The Dark Star is a Trinary Engine used by the Galaxy to move Planets and Moons around its System,
it is created with only the Dark Energy, although this energy is in the Visible Spectra of Light,
it is not easy to see or detect, because it has no Electromagnetic signature outside its orbit,
this is because the Light Energy is what propagates the Electromagnetic Energy,
this type of Trinary Engine receives Energy from the Guiding-Light Star, which controls its movement,
it acts like an invisible Gravity well, and can pull planets like a tugboat pulls a ship on the ocean,
our Sun orbits a Dark Star,
and it is Companions orbit our Sun from outside the system of planets in its orbit.
The Guiding-Light Star is a Trinary Engine used as Galaxies and Suns,
it has both Light and Dark Energy.
The Light energy is in the invisible spectra of Light,
and the Dark Energy is in the visible spectra of Light,
and it is all we can see with our naked eye,
this is the Rainbow of Colors in the White Light of the Sun.
If you understand these concepts then you are not a Sheeple,
but if you pay or eat TaxUS,
then you are still a Yew.
- Star Date
-
A Star Date refers to the alignment of a Stars position,
the Great Pyramids have a built-in feature that aid in the detection of the alignment of a Star called Sirius,
which has been known to always follow our own Sun's Orbit around the Galaxy,
as if the two stars were somehow connected as a Binary System with a Binary Star,
this alignment normally took place on 25 December under the Julian Calendar,
but the Gregorian Calendar changed that date on the Calendar to 14 January,
so they could align Easter with the spring equinox,
and so that Christmas would not be in the Dead of Winter like my Birthday is,
since it falls on Saturn 14 January 1961.
-
Sir Isaac Newton said that a Comet would come out of the region of the Star of Bethlehem,
which has a 333-year cycle,
and we last crossed the path with this comet on 14 January 2014,
the same Star Date that Sirius aligned with the Great Pyramid.
-
Sir Isaac Newton was born on 25 December 1642, this event is a Star Date,
but during his lifetime the world was converting from the Julian Calendar to the Gregorian Calendar,
and his birthday was changed to 4 January 1643,
and then they removed 10 days from the calendar making the StarDate on 14 January 1643,
after you add those days back to the Calendar,
this logic may sound odd, but according to Newton, if you take into account all the Changes in Time,
that the Gregorian Calendar will bring, it is hard to compare the Julian Dates to the Gregorian,
due to changes that take place each year in each of the Calendars,
so Sir Isaac Newton recalculated the date according to a Comet that we would pass through its Tail,
just missing being hit by this Comet,
but next time it comes around, it will hit the Planet,
so to prove that Newton was right about that Star Date, Comet Ison, or Son of I,
confirmed it, but others will argue this with no Evidence...
Using online Julian Calendars that do not take real-life changes to the Calendar,
according to it, 25 December would soon be in Summer,
note that in 2017, its on the 7 January, and in 2917 it will be on the 14 January,
in real life, this would not happen,
you would have to use a Star like Sirius (Serious) to Calculate it,
but Stupid People that wanted the Gregorian Calendar would Lie about anything,
because that is how Newton calculated the date,
he did not use the Calendars to do so.
Also, note that by Adding 10 Days to 4 January,
proves its on 14 January all the time,
those 10 days did not disappear,
even when Newton was alive, so this did not sit well with him,
which is why he went to such effort to prove it,
such that 25 December 2013 on the Julian Calendar is the same as 14 January 2014 on the Gregorian Calendar.
Note that Newton said this was to change the date that Jesus was born,
to make those celebrating it Satanic,
because it did change its date, but not its Star Date,
and keep in mind that time was adjusted under the Julian Calendar to keep it the same every year,
so just like we adjust our Clocks, so did they back then,
so keep in mind how this changed time,
instead of this Star Date being on his birthday, it now falls on mine.
Keep in mind that Newton was powerless to prevent the Gregorian Calendar from taking over,
but those that still follow Newton's ways,
still use the Julian Calendar,
the Military does,
thus, so do I.
They say a Picture is worth a thousand words:
| |
WS |
|
|
|
JC |
|
|
|
|
|
|
|
|
|
NB |
|
|
|
|
|
|
|
|
|
JB |
|
|
|
|
|
|
| J |
01 |
02 |
03 |
04 |
05 |
06 |
07 |
08 |
09 |
10 |
11 |
12 |
13 |
14 |
15 |
16 |
17 |
18 |
19 |
20 |
21 |
22 |
23 |
24 |
25 |
26 |
27 |
28 |
29 |
30 |
31 |
| N |
11 |
12 |
13 |
14 |
15 |
16 |
17 |
18 |
19 |
20 |
21 |
22 |
23 |
24 |
25 |
26 |
27 |
28 |
29 |
30 |
31 |
01 |
02 |
03 |
04 |
05 |
06 |
07 |
08 |
09 |
10 |
| G |
21 |
22 |
23 |
24 |
25 |
26 |
27 |
28 |
29 |
30 |
31 |
01 |
02 |
03 |
04 |
05 |
06 |
07 |
08 |
09 |
10 |
11 |
12 |
13 |
14 |
15 |
16 |
17 |
18 |
19 |
20 |
Julian to Gregorian Calendar Changes December and January
- Trinary
-
Consisting of three parts, or proceeding by three; ternary.
The term dates back to the 1400's.
The use is the same concept of Binary,
only with 3 State changes in the Logic" (+1), (–1) and 0,
and for math base 3 is called Ternary,
whereas the system of math for Trinary is based on a Logical Constant representation of
(+1) + (–1) = 0,
which is a mathematical constant,
but is graphically drawn on a grid with 0 being the x-axis,
with 1 above it and (–1) below it, so it represents Trinity:
the Father, Son and Holly Ghost or Spirit of Mother Nature,
and describes the relationship to: Father in Heaven, Mother on Earth and the Hell our Sons put us through,
and more accurately describes the State changes of Atom's and “White Noise”,
so the State changes are Logic Levels.
-
Trinary is used as a Prefix to a Word or Spell, it adds the concept of 3 State changes to the word,
thous altering the word, so it is a Spell, a concept that Wizards use when they read or write Spells,
so Trinary Energy is Energy with this Trinary concept added to it,
and the Spell also implies Intelligence,
so the Light of God is controlling the Trinary State changes.
-
The Trinary Spell came to me in a Dream around 1966,
it was a recurring Dream that became longer and in more detail as I grew older,
but I never paid much attention to the way people Spell words, they are just images to me,
so when I started writing for what would become the Light Wizzard in the Flesh back around 1999,
I Spelled the word “Trinary” without thinking about it,
back then the word was rarely used,
besides my cousin Isaac Newton who I did not read his work till 1969,
so I thought it odd that I dreamed of about a words spelling, and then I find it in his writing as well,
researching the word I have found very little use of it,
but I did think it was odd that I would dream about the way a Word was Spelled,
then when I started writing this Document I decided to look it up,
come to find out it was a real word, and the meaning was even close enough to use,
but the word itself was not used much at all still,
but its usage in the context to my definition will not suffice,
since the underlying meaning is not the same, and this is just a Spell,
so it only changes the word in the way I define,
so current mainstream definitions of the word should not change my definition,
in fact, I change their definition by completing the science behind the word,
so Trinary Science defines the Trinary Spell.
- Trinary Cluster
-
A Trinary Cluster has one Trinary Engine that uses the Light without Darkness,
it has an Electromagnetic force field that extends 32 to 42 trillion Light years,
all Light within this region of Space:
will have its Light bound by this region of space that is defined as an imaginary Light Boundary,
the concept is that Light follows an Elliptical orbit around a Trinary Cluster which is a special type of Trinary Engine,
it acts as the center of Light for the boundary it encompasses,
which each Galaxy in the Cluster has an Elliptical orbit between 13.32 to 16 billion Light years,
making the center of it 6.66 to 8 billion Light years, then this Light is bound,
so we can not see it at all from outside the Cluster, so its Energy is being seen like a Movie,
the Light without Darkness is what we refer to as background Radiation,
when it hit is the force field of the Trinary Cluster,
it Lights up like a Video Monitor, same principle in fact,
it is just an Electromagnetic Marker that is painted by the Universes Electromagnetic Force Field.
-
Hubble's observations of distant Galaxies and Redshift,
has made it possible for me to see the pattern,
there are multiple Galaxies that form Clusters that all have one thing in common from long distances,
which can be trillions of trillions of Light years away,
and that is that all these Clusters appear to be connected by the boundaries of their Light,
as if that is what is binding them together,
so this explains why the Universe appears to be expanding,
because the Clusters that are farther away seem to be moving faster away from us,
and after half a century later I can only conclude that:
if they were moving faster than the speed of Light they would be gone by now,
even at the speed of Light they would be gone, but they are not,
we can still see them, so they are not expanding, and that is based on Evidence,
its just the way Trinary Clusters look like at far enough distances,
because we are not seeing the direct Light from the Galaxies in that Cluster,
we are only seeing the Light from the Trinary Cluster itself,
because the Light inside of it, only travels in Ellipses, so it can never leave that space,
yet we can still perceive its Light, when in Reality those systems may not even exist anymore,
they could have gone Supernova a long time ago, while others are newborn systems,
much younger than our own, so their Light has not even made it here yet,
so the Trinary Cluster is just a concept of a Light Sphere,
this allows Light to appear to exist outside its Clusters boundaries,
its like a projector screen,
because it is a force field that acts as an Electronic Lens.
- Trinary Energy
-
Trinary Energy is physically viewed as “White Noise”,
as a Joke it's been described as “God's Particle”,
and although I must admit it is not possible to prove Dimensions exist,
I can prove that the 3 States of Trinary Energy can clearly be seen in,
can be viewed as a Light, Dark, and Empty State,
where Light is the Brightest state when it changes to Dark,
it becomes less bright and moves to one side or the other,
then when its Invisible or Empty or Null, it has to go somewhere,
and the only explanation is the 0 Dimension,
where space does not exist,
because the Dimensions of Space do not exist,
so Light is given a Description of Matter,
because we normally view it as matter,
because we can interact with it,
and if we graph it on paper,
we would put it just above the x-axis and give it a value of (+1),
and Dark would be described as Antimatter,
because it will always do the opposite of what the Light State is doing,
and we can not interact with it,
so we graph it under the x-axis and give it a value of (–1),
and when it is Invisible we can describe this as Empty or Nullspace,
and can graph it on the x-axis and give it a value of 0,
and we can note that in the 0 Dimension,
there is not Width, Height, or Depth,
so there are no Dimensions of Space,
and why Atom's are invisible during this State Change.
-
Trinary Energy is a Massless White Noise,
that binds Neutrinos to form Atom's,
and Sir Isaac Newton called this Light without Darkness,
and the Bible called that God.
- Trinary Engine
-
Trinary is defined as 3 State Logic: (+1), (–1) and 0,
and an Engine is defined as the driving force of an object,
in this case, it is the core of every Galaxy, Sun, Planet, and Moon in the Universe.
The Trinary Engine is created by Trinary Energy,
its based on Trinary Science, its created by Lightning, but is not Lightning,
its just the Light without Darkness the Bible said was God,
so its Light Energy from the Lightning,
and it is State changes are only (+1),
or (–1) inside of an Atom created by a Neutrino type material called Tritanium,
which is the stuff Supernova's and split atoms are made of,
and that very large Atom surrounds the Null Space around the State changes,
so the Null Space is a Trinary Force Field,
not to be confused with the Magnetosphere that it creates around the Earth since it is the Core of the Earth.
-
The Trinary Engine concept came from my Dreams, I give credit to no one but God,
but the Definition comes from the Bible, Jesus said that God was All Light without Darkness,
so that meant that it is not Full Spectrum Light,
but a specific spectrum of Light,
and Light is not a Metaphor for a Deity or Spirit,
nor is it Good, Bad or Evil as Religion would have you believe,
Sir Isaac Newton proved that, so how is it that the Sun puts out Light with Darkness in it,
yet God does not have any Darkness,
and a Light went off in my Mind one Day as I was thinking about my Dreams,
at the time I was 13, so it was around 1974,
me and my little sister were almost hit by Lightning,
which hit a power line Transformer instead, thinking back on that event,
I took all the facts I knew about God and wrote them as a problem to solve,
so it went like this:
(+1) + (–1) = 0 is the State Changes of the Light,
so if God is all Light, then God must be the State Changes in the Light,
and not the Light as we define White Light, or Full-Spectrum, meaning Light with Darkness,
which is the Rainbow of colors in the White Light, but its more than just the “White Noise”,
this is Pure Energy, so its Lightning, it has Electricity and Light in it,
and this Lightning has more Mass,
Nikola Tesla proved that Real Lightning has more Mass then Electric Generated Lightning,
so if Lightning could be Magnetically contained in a Sphere by the Electromagnetic Pulse or EMP,
that Lightning has been known to generate,
it could open enough Ground Mass to terminate the Lightning without going to Earths Ground,
thus, the Lightning with the most Mass would gravitate to the center of the mass of this event,
and cause Ball Lightning, and if that can be held in place long enough for it to be coated with Tritanium,
then it will be encased like an Atom, and behave like one also,
in fact, it would become an Atom,
because that is how they are Created.
-
When I was in the Air Force, my main focus was the study in Electronics, Math, and Science,
but on the side, my only problem was figuring out how to build a Trinary Engine,
although I never did, I did figure out that it can be done,
in fact, I figured out how to make Atom's,
then it occurred to me that if I did so on this Planet,
that would not be a good thing if an Atom did not fully form,
it would explode like an Atomic Bomb,
and even if I succeeded it could very easily destroy the Planet,
not an Atomic size Atom, so that would be cool technology for a 3D printer,
besides the fact that if the printer head jammed you blow up much more than just the printer,
but one the size of a golf ball could punch a hole in our Trinary Engine,
so I gave up on my research,
it became more of I should not do this on a Planet I live on Experiment,
then it came to me in 2013 that I could create Ball Lightning and create a magnetic field to hold it in place,
and I could produce Artificial Gravity with it, but that is a very dangerous device also,
but it is not a Trinary Engine in the true sense of the Spell,
because it does not have an Atomic Shell, or Neutrino material called Tritanium,
but you would have to periodically collapse the field to prevent the Tritanium from forming an Atom,
so not only do I know how atoms work, I know how to make them,
but still not on Earth, this needs to be done outside of the Earth's Gravity.
-
My definition of a Trinary Engine is the same as my definition of an Atom,
inside every Atom is this same energy I described above, its just the size that has changed,
so if I ever use the Spell Trinary Atom, you know its just an Atomic size Trinary Engine,
so everything I say about a Trinary Engine is true for an Atom, or Trinary Atom's,
since they mean the same time in Trinary Science,
so they will orbit each other in the same manner, the Moon will orbit the Earth like an Electron orbits an Atom,
the Earth will orbit the Sun like an Electron that has an Electron orbiting it and the Sun orbits around a Dark Star,
the same way, only there are more Electrons orbiting other Electrons, you see the pattern,
so the Dark Star obits around the Galaxy, and this is how atoms in space behave,
one will orbit around the other, so the laws of physics does not change,
everything we know about Atom's is true for the Trinary Engines, regardless of if it is used is in a Moon, Planet,
Sun or Galaxy, it is all about size, so size does matter,
an Atom is a Trinary Atom, but a Trinary Engine is much larger.
- Trinary Universe
-
The Concept of the Trinary Universe is simple,
Trinary is 3 State Logic change,
the Universe is everything that exists,
and in terms of Energy it is simply known as “White Noise”,
in the Bible, it is referred to as Light,
and God is described as All Light without Darkness,
and there can be no Light without the Darkness,
and in the Bible “White Noise” is described as the Holy Ghost or Spirit of Mother,
and Sir Isaac Newton said that God was the Force in all his Equations,
so Trinary Energy is the Light, so its God,
so the Bible is Science and Not Religion,
so Trinary Science is based on all these Facts,
and the Trinary Universe is how the Universe works in terms of Trinary Science,
this Universe is based on the Newtonian Universe
and is completely opposite of the Theories about the Dynamic Universe of Albert Einstein,
but because of my idea about the Trinary Engine,
I had to add the Spell of Trinary to describe this fully realized all-inclusive Concept of the Universe.
- Trinary Space
-
Trinary Space refers to the Physical Layers of Space as a whole,
this space is made up of 3 Dimensions:
0, 1st, 2nd and 3rd,
sometimes I will say 4 Dimensions,
that is because sometimes I count the 0 Dimension,
but it is not a Dimension, it is Dimensionless,
not to be confused with Dimensional Analysis.
All of these dimensions exist at the same time,
this means that the 0 Dimension is always there,
it is all how Atom's travel through the Dimensions does this proves it exists,
when you see an Atom in Trinary Space:
for example under an Electron Microscope,
you will see all 3 State changes: (+1)) Solid, (–1)) Semisolid and 0) Invisible,
it will shift from one of these Dimensions to the other,
because you can not see the 0 Dimension,
it has no Space, but the Neutrinos are still there,
you do not lose its Mass, even though the mass of an Electron is very low,
as it is very small in size,
its why it is the smallest thing and Electron Microscope can see clearly,
you only see it when its shifting from one dimension into another,
as such the (+1) State,
and (–1) State Change exist at the same time as the O Dimension,
so it is not the Dimensions of space-changing,
its just the Neutrino Reversing its Polarity,
just like the Sun or Earth, it too must Reverse Poles,
so it is in these Dimensions of Trinary Space:
meaning 3 Dimensions, Plus the 0 Dimension,
this Real verses Not Real Number, when you add the 0 Dimension to 3 Dimensions, it equals 3,
which is why you can see that Atom move and then disappear,
but Atom's are only in the 3rd Dimension when they are not Shifting,
which is ⅓ of the time, so when it appears to be Solid,
that is only in State (+1),
in the 1st or 2nd Dimension,
this is because when it changes from 0 to 1 Dimension,
it is Negative viewed on a Graph of a Sin Wave,
this is below the x-axis,
viewed as a Helix, this is driving the Atom down to (–1),
when it start to rise, it shifts to the 2nd Dimension,
so it stays longer in the 3rd Dimension,
which is why Atom's appear to be Solid,
they pass through the 0 Dimension when changing from negative to positive,
note that if they follow the pattern:
(+1) + (–1) = 0,
this Trinary Math constant function will only toggle from one state into the next,
once positive, next negative, back to positive, it is a loop, so no changes to Direction were made,
its just following a path that if unchanged it will repeat this pattern till the end of time,
so when it does make a change, this is called Intelligence,
and that is how we can move our Fingers, walk, talk, and do anything,
so every Atom in our Body has to follow these Rules.
Trinary Space has 3 State changes,
these changes take place in the 0, 1st, 2nd and 3rd dimensions,
which make up the 3 Dimensional Space (0 + 3 = 3),
and it should be noted that the 4th Dimension is only a reference to the 3rd Dimension,
and dimensions beyond the 4th are only view-ports of that same space,
which are not very helpful unless you want to see what you saw,
so you can see what you have seen,
but maybe if you find yourself in a Room you can not get out of,
just Look into a Mirror in your Mind,
and see what you Saw,
now take that Saw and Cut something in Half,
but the Halves together to make it Whole,
now use that Hole to get out of the Room,
now that is how Wizards explain what happens to the Atom when it is invisible,
it has seen what it saw and said I am out of here,
so all joking aside about how other Sciences view Space,
Trinary Space is not the same Space Einstein wrote about,
but Sir Isaac Newton wrote the Math that explains how Trinary Space works.
- Trinary Science
-
Trinary Science is based on Trinary Energy,
so its based on the concept that Trinary Logic builds on Trinary Intelligence,
and has its own set of rules that govern the Trinary Universe,
the foundation for this Science has been handed down for thousands of years and was written in the Bible,
which refers to the source of all Bibles for all Religions,
but does not reference the Bible as Religion, but as Science, as such,
this Science was defined by many Scientist throughout History,
so I refer to these Scientist as Wizards,
since Sir Isaac Newton was the Last Magician,
and Nikola Tesla was the Last Wizard,
and for the same reason I appended the Word or Spell “Trinary” before many Terms like:
Space, Time, Energy, and the Universe itself,
and that is because Trinary is the foundation of this Science,
and the Term Trinary refers to the 3 State Logic,
which was known as Trinity in the Bible, or the Father, Son and Holy Ghost Spirit of Mother Nature,
Heaven, Mother Earth, and Hell,
so we define God: All Light without Darkness,
also, there can be no Light without the Darkness, so we have:
Darkness without Light, and God Controlling all 3 types of Light,
so I had to rename things by adding the prefix to distinguish between Religion, Science Fiction and Mainstream Science,
because as of the original writing date of this document, which started in 1969,
the concept of Mainstream Science was based on the Dynamic Universe,
based on Albert Einsteins Theory he did not believe,
since he would have believed in the Newtonian Universe that this Science is based on,
so Religion and all other Sciences are totally incompatible with the Science of Trinary.
- Trinary Time
-
Trinary Time is a measurement system that is based on the Speed of Light,
it describes how much time it takes for Light to travel the distance of a billionth of a hydrogen Atom,
currently an attosecond is one Quintillionth (10-18) of a second
and 1 attosecond is the time it takes for Light to travel the distance of 3 hydrogen Atom's.
The closer order of time in the scale might be Tredecillion (10-42) or larger.
-
Trinary Time is divided into 3 categories depending on the resolution required,
such that a low resolution time is a Decillion (10-33),
a medium resolution is Tredecillion (10-42),
and a high resolution time is short scale Unvigintillion (10-66),
although lower and higher numbers are possible,
limits help to keep the units of measurement at a minimum of 3 standards.
-
Note: the use of a negative exponent is because time is normally measured in seconds,
so a microsecond is 10-6,
meaning a Millionth of a second,
written 0.000001,
or
1/1,000,000 seconds,
whereas 10-66 is:
1/1,000,000,000,000,000,000,000,000,000,000,000,000,000,000,000,000,000,000,000,000,000,000...
So you can see its much more accurate than Mainstream Science,
now wait an attosecond... yes that was a Joke, so even my Terms are more Entertaining than Mainstreams.
- Trinarian
-
Trinarian is a Wizards Spell,
so it is a Trinitarian Spell,
which means: belief in the doctrine of the Trinary,
it is a word I made up to describe people who believe in the Trinary Universe.
- Tritanium
-
Tritanium is a name I came up with as a child back in 1965 only to find out that others already had this idea,
I combined the words Titanium with Trinary and got Tritanium,
but the first time I heard anyone else talk about it was when Star Trek came out,
back in 1966,
so it appears that other people have thought about this as well,
but it is not the same thing exactly,
Star Trek described it as being the rarest and the strongest element known,
well, not defined the same way, but close enough,
and true enough,
so this Term comes from Science Fiction and goes to Trinary Science.
-
Tritanium is a material that is subatomic dust, it has been detected in Neutrino Detectors,
so its just another type of Neutrino,
but all that is known about it is that its known to be found after a Sun goes Supernova,
or an Atomic or Nuclear bomb is exploded,
so we know it is what the Sun and Atom's are made of, and it has no electrons,
protons or neutrons, its just subatomic Particles,
so it carries no charge and it is so microscopic that we have nothing we can catch it in,
so it just flows through the subatomic empty space in all known elements,
due to its inert structure, it can not be bound to any known elements,
because it has no electrons, protons or neutrons it can not be glued or welded,
making it the worse material to use for a normal spacecraft,
in this Form,
but it makes it ideal for a Trinary Engine or an Atom,
because this is the stuff that Atom's are made of,
and because it can not flow through the Null state of the Ball Lightning,
it sticks to it like paper covering a vacuum tube,
and it will continue to do so building up many layers,
thus, becoming very massive, and dense,
so Tritanium is the Material that Trinary Atom's and Trinary Engines are made of,
Neutrinos and Light.
-
At the subatomic level, nothing can flow through Tritanium,
because it is the smallest of all subatomic particles, it has no empty space,
it can flow through diamonds like they were made of water,
because at the subatomic level the empty space in diamonds is about 99.999%,
so Tritanium is the densest material in the universe,
but it is not a solid material,
its just layers of it being held in place by a Trinary force field,
around a Trinary Atom or a Trinary Engine,
and it is why if you split it, it puts out a lot of Energy,
it breaks the bounds with the Light holding the doorway to the 0 Dimension open,
and when it does, it compresses the space around it,
which is why it expands,
and why in nature nothing flows through a Trinary Atom or a Trinary Engine.
-
The name Tritanium is not in the standard dictionary,
but no science fiction dictionary would be complete without it,
but this material is real in science and has been proven to exist,
and is a Neutrino, and many of these are documented in the Periodic Table of Elements,
and Neutrinos are said to not carry a charge, which is true for Tritanium,
and I just named it, so I can talk about it with no confusion about what it is,
and it is not a reference to Star Trek,
but I could point out that its Atom's and the spaceships are made out of them,
so that is a fact.
-
Tritanium is not in the Periodic Table of Elements,
but if you are going to add Theoretical Elements to the Chart,
please add this one also.
- Upper Atmosphere Lightning
-
Upper-atmospheric lightning
or ionospheric lightning are terms sometimes used by researchers to refer to a family of
short-lived electrical-breakdown phenomena that occur well above the altitudes of normal lightning and storm clouds.
Upper-atmospheric lightning is believed to be electrically induced forms of luminous plasma.
The preferred usage is a transient luminous event (TLE),
because of the various types of electrical-discharge phenomena
in the upper atmosphere lack several characteristics of the more familiar tropospheric lightning.
- Vertice Matrix
-
Trinary Energy is defined as being the State of Flux or Aura that surrounds every Atom in the Universe,
so the Light is defined in paths that it takes from that Atom outward in 360 degrees,
so it is the Vertex of the Light of the Atom and since all Atom's move in the Universe,
the Matrix is all possible paths the Light can take at the Subatomic level.
The Vertice Matrix describes patterns of AC waveforms,
just build a table and prove it for yourself,
you can plot out the course of an Electron around an Atom using Trinary Math.
| State |
Visibility |
Graph |
| (+1) |
Solid |
|
* |
|
|
|
* |
|
|
|
* |
|
|
|
| 0 |
Invisible |
* |
|
* |
|
* |
|
* |
|
* |
|
* |
|
* |
| (–1) |
Semisolid |
|
|
|
* |
|
|
|
* |
|
|
|
* |
|
| Time frame |
1 |
2 |
3 |
4 |
5 |
6 |
7 |
8 |
9 |
10 |
11 |
12 |
13 |
Table: Vertice Matrix of State Changes for AC wave form
- Viggo
-
Viggo is a Dragon Hunter searching for the Dragons Eye in the Animated Series “Dragons - Race to the Edge”,
part of the “How to Train your Dragons” series,
and we all know that Wizards like Dragons,
and need to Train them,
but the dialog this character goes through in the first appearance of the series:
was a performance worth watching 8 minutes into the 12th Episode in Season 4:
“
The line between Good and Evil is often unclear,
Black and White can become Grey so easily,
what one Soul considers Evil the other might consider righteous,
the honorable Chief who fails to see this is found to be the fool
”
and he defines a Fool like this:
“
They say there are two ways to be fooled,
one is to believe what isn't true,
the other is to refuse to believe what is.
”
So you can see why “How to Train Your Dragon” Series is my favorite.
- Witch
-
A Witch is a Life-Form that understands how to communicate using Imagination,
and not words, Witchcraft is the user of Words and Spells to describe Imagination,
the type of Animal or even the Gender of the Animal is unimportant.
-
The modern definition of what a Witch is does not matter in the context of how I use the term Witch or Witchcraft,
since the word Witch means to communicate with Imagination,
and Witchcraft is done with Images, so Witchcraft is Art,
so the term Artist and Witch mean the same thing in modern times,
and even that word does not imply gender.
So the term Trinary Witch takes on a whole new meaning to the word Witch.
- Wizard
-
A Wizard is a Life-Form that understands Alchemy,
and how to communicate using Witchcraft what uses Words and Spells,
which are how we define what letters are in a word and what order they should be in, to Spell it,
and it is a step by step process, which involves the teaching of every discipline in Nature,
so you fully understand each word, and it is Spell,
so Wizards were teachers, and that term does not imply gender,
and they are also the best in their Field of Study.
-
The modern definition of what a Wizard is does not matter in the context of how I use the term, Wizard,
I will normally refer to a Human, Gender does not matter,
nor does Race, Color, Nationality, or any other way of classifying humans,
and like I said, it is all Lifeforms, so Human does not matter,
because it only refers to humans that believe in the Light of God that I call Trinary Energy,
so see Wizzards with two Z's.
- Wizzard
-
A Wizzard Spelled with two Z's is the Scientific name for God who is All Light without Darkness.
-
Witch is why it has two Z's,
the Bible states that God is all Light without Darkness,
and Sir Isaac Newton proved that there can be no Light without the Darkness,
so this God has 3 State Changes.
There are 3 types of Light:
- Light without Darkness
- Darkness without Light
- Massless Light and Dark Energy
There are 3 Logical State Changes:
- Solid
- Semisolid
- Invisible
Sir Isaac Newton called them:
- Father
- Son
- Holy Ghost Spirit of Mother Nature
I call them:
- (+1)
- (–1)
- (0)
Sir Isaac Newton called them:
- Heaven
- Mother Earth
- Hell
There are 3 types of Wizzards: Light, Dark and every Shade of Grey in between,
these types also have Wizard counterparts, Wizard with one Z,
means it is a Flesh Being that shares a Life with a Light Being,
as Nikola Tesla calls them, but to avoid confusion,
I just used the terms that were common throughout all the Ages,
and that term is still Wizzard and Wizard,
so we have Light, Dark and Grey Wizzards and Light, Dark and Grey Wizards,
these Wizards teach Sheeple lessons about Life and how the Trinary Universe works,
they understand the Trinary Universe in ways that Sheep like Ewe will never understand.
Wizzards are pure Massless Energy, also known as “White Noise”,
and I call Wizzards Trinary Energy,
where the Light Wizard is the Brightest of all the Wizzards,
and the Grey Wizzard is not as Bright,
and the Dark Wizzard is so Dark you can not even see it at Night.
The Light Wizzard is the Wizard in my Dreams,
and IAM the Light Wizzard in the Flesh,
where Flesh is actually my name,
and Flesh is just short for Meat,
or Me for short,
so it is just Me in the Flesh,
but the Light is God,
and that is who IAM,
I know Jesus said he would come back in the Flesh,
he also said that God was All Light without Darkness,
and not the Leader of the A-Team,
that was Christ,
Bar/Abbas on the other hand was Military,
as am I,
but for the Record, the Light is God,
and a Wizzard is only in our Dreams.
- Yew
-
Yew is the Name of the Ewe in His-Story,
and how Yew got her Name,
has to do with a type of Sheep known as Sheeple,
and also refers to a chain of events that Sheeple call Logic and Reasoning,
a mix Sheep and Stupid People, you get Sheeple,
not Smart People, or People of average Intelligence,
not Retarded People, and not Dumb People,
only Stupid People what Identify themselves as Sheep,
so they are self-appointed Sheep,
who follow a Shepard in Psalms 23,
so when we follow this chain of events,
we find that Words are just Spells that Wizards used to Communicate concepts,
so Yew starts off as a type of Tree called TaxUS,
so its Real, and Really Exist as Empirical Evidence,
so Ewe, which is Female Sheep, eat this Yew,
because they do not know its bad for Ewe,
and then Ewe Shit out Yew in Ewe Shit,
and it is Shit that is bad for Ewe,
because this Shit has Yew in it,
as such, Yew, Ewe, and You,
may sound like the same Words,
but they have different Spells,
so do not get confused, Which witch IAM talking about,
because people who do not understand how Wizards use Spells,
may think it is Magic,
witch makes them Ignorant to the ways of a Wizards Spells,
so it does not make them Dumb, just Stupid,
because they can hear and talk just fine,
but Yew only believe what Yew heard in Ewe herd,
it just makes any arguments made about Yew a miscommunication,
in writing this is hard to do, most people will think its just a typo,
and tell you to spell it correctly, as if you can tell a Wizard how to Spell,
only a Witch can do that, they are actually much better at Spells,
but few will even notice the difference in how you pronounce the three Words,
so its easy to use Wizards Spells, so if someone disagrees with you,
just tell them that is what Yew believe,
because Yew means TaxUS, or Ewe Shit for Brains,
so you do not insult people,
you insult Sheeple, you should never insult People,
but you can insult Sheeple because Yew has Shit for Brains,
and Trinary Humor is required at all times,
so it must be Entertaining,
so I will always tail Ewe how stupid Yew are,
and Yew is what I named my Sheep in my Flock,
and as a Sheep Dog,
Yew is all I have to worry about,
so to be Crystal Clear,
Yew is a Ewe, not You.
-
The first time I read the Christian Bible,
I realized how much different it is,
in terms of its limited content,
it was only the size of one of the smallest of Canons,
and I was confused why they would sometimes call Jesus Christ,
and other times by his full name Jesus Bar Abbas,
and they also refer to him by his formal name of Bar/Abbas,
and in Psalms 23 it actually tells you that this book was only written for Sheep,
as was this one, and for the same reason,
Stupid Sheep eat Yew,
that is how they became Stupid Sheep,
and Yew is just a type of Tree,
one of which is known as Taxus,
and the Christian Churches do not pay Taxes,
only the Stupid Sheep do.
Why write a book to Sheep is a good question,
I asked the church that very question,
but they still Deny Jesus Bar Abbas was the true Savior,
for all being sent to the Roman Coliseum,
but History agrees that Jesus Christ, like their Christian God,
never existed in History,
as such,
that is Proof that only Jesus Bar Abbas was real,
even the Christians God is Fake,
the leader of the A-Team,
they must be joking,
Stupid Sheep indeed,
and why I wrote this Book just for Yew,
and even though Jesus said he would come back in the Flesh,
Christians expected Christ,
according to Kepler,
Christ was the Symbol of the 12 Zodiac,
and Christianity was the belief Stars,
and Constellations, Joseph Smith wrote that we are Space Travelers,
the Bible is full of Spacecraft,
but once it becomes a Religion,
it is no longer a Book of Science,
that was written using Witchcraft,
because the Church and its Military,
made Science illegal,
and why Wizards and Witches,
used Witchcraft to hide their Science in the Bible Code,
stating that only Sheep follow the Stories,
and that Sheep is named Yew.