The Principles of the Trinary Universe Chapter 2.09:
Electromagnetic Energy
C®pyRight & C©pyLeft
by
Jeffrey Scott Flesher “Medically Retired United States Air Force Staff Sergeant” Last Update: 14 January 2020 http://LightWizzard.com/books/trinary.universe/the.principles.of.the.trinary.universe.html
 

Chapter 2.09:
Electromagnetic Energy

Electromagnetic Energy, refers to Energy that is being suspended in an Electromagnetic Field, the form of Energy can be Electrons or Photons, and can be measured using various instruments, and for the most part, I will not change current teachings about these phenomena, only explain it at the subatomic level.

Magnetism is caused by Electromagnetic Energy: caused by the alignment of the Atom's of Matter that make up the Material that is Magnetized, Trinary Energy is what causes the atoms to align in such a way.

If you follow the State changes of Trinary Energy, you will find that it behaves just like the Planets orbit the Sun, or the Sun orbit is the Galaxy, which is easier to see, because it is farther away, so you can see that the Sun will travel through the Galactic Plane and then follow a Sine wave 2 Dimensional patterns as it travels through space as seen in: Illustration 2.16: Sine Wave.

Sine Wave
Illustration 2.16: Sine Wave Full Size

The Sun will travel through Ground, which is 0 on the x-axis, to State (-1) or (+1) above the x-axis, then back through State 0 on the x-axis to State (-1) or below the x-axis, so it is clear that this is the same way that Light travels through the Universe, only on a larger scale, and it is the same pattern you will see in a Magnetic Field as shown in: Illustration 2.17: Magnetosphere.

Magnetosphere
Illustration 2.17: Magnetosphere Full Size

If you examine the Magnetosphere, you will see this pattern, the path the energy takes is from South to North, so if we take a sine wave that loops back on itself, we get a sine wave that looks like: Illustration 2.18: Closed Sine Wave.

Closed Sine Wave
Illustration 2.18: Closed Sine Wave Full Size

A closed sine wave is seen a lot in the Universe, I call it closed because it loops back on itself, but it should be clear by looking at this illustration that all energy flows from State 0 on the x-axis, to a higher potential of (+1) and (-1), note I did not say that (-1) is a Lower Potential, it is all in relationship to 0 and only denotes its relative position in relation to the x-axis, so it is just its polarity, so this is one of the Golden Rules of Energy, South is Ground, and North is a higher potential, keep in mind that x-axis is Ground in the 0 Dimension, so positive or negative, the path it takes is the same, from South to North in a closed loop at the same time.

Now we see this pattern in Magnets and the Earths Magnetosphere, so it is clear this pattern is used a lot in the Universe as I said, because it points out the basic understanding of Electromagnetic Force Fields, as an Electron is Created by transforming its energy into Photonic Energy whose frequency is not in our visible spectrum, but its still Light, call it invisible Light, there are many types of Invisible Light Spectra, infrared being only one of them, it is on the higher spectrum of Red, whereas Electromagnetic Force Fields spectrum is on the lower end of the Blue spectrum, or Ultra Violet range of the Spectra, its path is determined by the field strength of the energy, meaning the amplitude and frequency of the energy, where the Amplitude will determine its arc, and we measure its Wave Length to determine this, so the Trinary Energies State Changes will create this path as seen in Table 2.05: Vertice Matrix of State Changes for AC wave form, which proves intelligence, because it is more like a computer that can graph out a Sine wave, and it will always loop back to the North, and this is also why the Sun takes the same path as it crosses the Galactic plane.

State Visibility Graph
(+1) Solid * * *
0 Invisible * * * * * * *
(-1) Semisolid * * *
Time frame  1  2  3  4  5  6  7  8  9 10 11 12 13
Table 2.05: Vertice Matrix of State Changes for AC wave form

Trinary Energy is a form of Light, it has Light and Dark Energy in it, and it has 3 State Changes, and it follows the Laws of Physics. Trinary Energy is also just another term for “White Noise”, since White Noise does not sound very Scientific, and there has been too much-unrelated use of the term, and Sir Isaac Newton called it God, so it is best to keep Religion out of Science, so it was best to rename it to Trinary Energy. Trinary Energy is Massless energy, meaning it is not like Light from a Flashlight, which comes for an Electron with a high enough frequency to transform it into Light, Trinary Energy has no Electron or any Atomic Structure.

Trinary Energy has Intelligence, when you study it, you will find it is actually studying you. There has been at least half a century of research into White Noise, I will not reference any of it, I just want you to know that it is a well-known Phenomenon, but most people think it is like looking at the White Noise in a TV station that has gone off the Air, and Pattern Recognition software is not useful, once you understand what Patterns I am talking about, you will be able to see them for yourself, it has Intelligence that can be explained by how the Intelligence is determined, for example: If I state that Trinary Energy is controlling Atom's, then you should and can see the State Changes it makes, and influence the State Changes of the Atom, this is called Intelligence, it is controlling Atom's, not just some of them, but every single Atom in the Universe, and how it does this, is not Magic, its Trinary Science, but to understand it, you will have to understand Trinary Science, and it is based on Observable behavior of all Atom's, and breaks down the State Changes into the distinct Logical States, as such: Solid, Semisolid and Invisible State changes, are represented by Logical States of: (+1), (-1) and 0, so we can observe and record this behavior, and determine if it is controlling all the Atom's, after having done this test myself, I am convinced it is, but do not take my word for it, Intelligence has to be proven.

Trinary Energy is controlling the movement of all Atom's, and that includes Electrons that have transformed into Light, so it controls all the Energy in the Trinary Universe. Light is by far the easiest form of Energy to determine if Trinary Energy is actually controlling it, so we will first look at what Light is, which is Electromagnetic Energy.

When I was a child I liked to experiment with Magnets, there is little that I do not know about them, having studied Magnets most of my life, I can conclude that Trinary Energy is controlling them, so I will show you a few illustrations of Magnetic and Electromagnetic Force Fields, so we can explore this better, so look at Illustration 2.19: Magnetic Poles of an Atom.

Magnetic Poles of an Atom
Illustration 2.19: Magnetic Poles of an Atom Full Size

If we view the Poles of an Atom, we will note that it looks just like a Magnet, this is because every Atom in the Magnet are acting like Magnets, which makes you wonder why everything is not a Magnet, but to be a Magnet, the Material must be able to hold extra Electrons, this limit is the Material to those that we say can be Magnetized, so let us take a look at what that means. If we look at a Magnet, it is made of Atom's, and are in group of metals called the ferromagnetic metals, they are made of elements like Iron with an Atomic Number of 26, Cobalt with an Atomic Number of 27, and Nickel with an Atomic Number of 28, now: Iron is the most abundant element on Earth, it is in our Blood so it is very important to us as well, there may be a few other elements that can be used to make Magnets, but none as good as these 3, they can also be mixed with other elements that are not Magnetic, like Aluminum, or even Gadolinium which is Magnetic, as such you can make different types of Magnets using mixtures of these elements.

Now if I can illustrate how a Magnet is made, I will try to show the Atom's it is made of, and the Polarity in each Atom's, as such you can see they are all aligned such that the Atom's align North to South, as the North is attracted by the South, as seen in Illustration 2.20: Magnet showing Poles of Atom's.

Magnet showing Poles of Atom's
Illustration 2.20: Magnet showing Poles of Atom's Full Size

It should be noted that all Electrons will flow South or Negative, to North or Positive, and when the material is not magnetized, this is a none magnetized state, which means it does not have any extra Electrons in it, if we add two extra Electrons, we will see that they are forced out of the Magnetic Bar, because it can not hold them, so they will travel from the South end to the North end, and then exit the bar, the Charge will be Positive, so it will be attracted to the Negative end, and this will repeat itself till it has no more extra Electrons, this can be seen in Illustration 2.21: Magnet with extra Electrons.

Magnet with extra Electrons
Full Size Illustration 2.21: Magnet with extra Electrons

The more extra Electrons that the Magnet has the more Magnetic Lines of Flux it will have, we show two lines of Flux in this illustration with two extra Electrons, this is how a Magnet works, the extra Electrons will flow around the Magnet as shown above, as the Electrons are pushed out of the material on the North end, they will travel in an Elliptical Orbit around the Magnet, this orbital path is determined by the Laws of Physics, which is controlled by Trinary Energy.

When the Electron is force out of the Magnet, its State will change to 0, if we view this as a Trinary Atom Helix, we can see the Pattern for each of its State Changes, and we can verify that Trinary Energy also makes these same State Changes, since Trinary Energy is just massless White Noise that surrounds the Electron, it is difficult to see clearly, the resolution of Technology of this date is not adequate for the study of Trinary Energy, but it is good enough to determine the validity of my statement: that it is causing the State Changes, so how do these State Changes create the orbital path of an Electron is the question I must answer now. As the Electron leaves the Magnet, its polarity is Negative, this is due to the last Atom in the Magnet being Positive, this cause the Negative phase of the Electron to be attracted to the Positive Atom, as it leaves the Bar it will change to the 0 Dimension, see: Illustration 2.22: An Electron Orbital Path around a Magnet.

An Electron Orbital Path around a Magnet
Illustration 2.22: An Electron Orbital Path around a Magnet Full Size

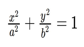
This Path may look like it is a Straight line, but like the Electromagnetic Force Field Illustration 2.21: Magnet with extra Electrons, it is an Elliptical Loop, the math behind such a loop for 1 line of Magnetic Flux, is based on the Frequency the Electron left the bar, and the distance of the poles from end to end, as such: The Math behind the Elliptical pattern that Electromagnetic Fields of Flux emit are: Illustration 2.23: Math for an Elliptical Pattern.

Math for an Elliptical Pattern Illustration 2.23: Math for an Elliptical Pattern Full Size

Keep in mind the Laws that Govern the Speed of Light, and the Frequency and Wavelength as it applies to Magnets. Table 2.06: Speed of Light and the Frequency and Wavelength as it applies to Magnets

  1. The Speed of Light is equal to the Frequency times its wavelength
  2. The Wavelength is equal to the Speed of Light divided by its Frequency
  3. The Frequency is equal to the Speed of Light divided by its Wavelength
Table 2.06: Speed of Light and the Frequency and Wavelength as it applies to Magnets

The Frequency of the Magnetic Field of Flux has a Range of very low up to but not including Infrared, since this range is in the Spectrum of Light, if it made the transformation it would become Light, but I have never seen any material that can resonate at the high of a Frequency. The Power level of Electromagnetic Fields must also be taken into account, these can extend the Field of Magnetic Flux. I will try to graph this Mathematical Formula as seen in Illustration 2.24: Magnetic Ellipse.

Magnetic Ellipse
Illustration 2.24: Magnetic Ellipse Full Size

The relationship between the Magnetic Flux and the x-axis is simple, “a” is the distance between the Poles of the Magnetic, measured from the Foci points and “b” is the Frequency and Power levels combined as one unit of measurement, since the range of Frequencies is lower than infrared, anything higher than that would change into a different sized loop that I will talk about next, which is the Frequency of Light, which has such a large field that it can not be measured on Earth, maybe its arc can be measured, but my guess is that it is between about 13 to 16 Million Light years.

The explanation for what makes a Magnet stick to some metals is simple, as an Electron moves form Atom to Atom, it causes those Atoms to Bind together as the Electron passes through it, keep in mind that a Magnet is just a material that can hold Extra Electrons, the more Extra Electrons it can hold the better Magnet is made, demagnetized is to remove the Extra Electrons, as long as there are Extra Electrons in the Material, it will cause Eddy Currents to flow, as these Electrons encounter another Magnetic Material, its Electrons will try to bind to the Material, and as the Electrons Path arcs, it pulls the two materials together, so if two metals are close enough to touch, it will cause the two materials to bind together, giving some of its extra electrons to the other material, thus magnetizing it. Although the time that the binding takes place last for attoseconds, there are so many Electrons that the binding seems continuous.

Mainstream Scientist have no clue as to understand things that they have no clue about, so to state, they are Clueless would be an understatement, and it is because of their Logic, for example, they believe that Mars once had a Strong Magnetic Field, because Lave Flows show Magnetic Fields in them, using the logic that when Lava Cools, it records the Planets Magnetic Field in it, which is Stupid and illogical, I know for a Fact that Lava only Records the Energy flowing through it, and it just happens to be the same as local Magnetic Deviations can prove, proving that it is the Electricity that flows whenever Lava is Produced, which is from Electromagnetic Force Fields, in this case, that which is produced by the Sun, and not the Trinary Engine of the Planet or Moon, which have a very weak Magnetic Field compared to Earths. People think we can TerraForm Mars, these people are Insane, because they believe in things that are not possible, because they believe in things that do not Physically Exist, and that proves they are insane, and why they have no clue as to what Real Science is, and it is Sad that I have this Target known as Mainstream, which is just a Group of Sheep, known as Sheeple, that Lie about Science so that no one will find out about Jesus Bar Abbas, because that will kill the Banks Funding your Research, also Limiting it to what the Banks will Pay for, but also I know for a fact that people that are actually running that Bank, are not Insane, and I am not in fear of them, they already know about much of what I write about, because they actually read the Bible, Newton, and Tesla, and understand their Science, and in fact, only use it, why they Fund Einstein is to separate Sheeple from People, and it is Entertaining, so I go along with it, I have to live in a world where its Normal to be Stupid, and not understand Newton or Tesla, or even Einstein who also believe in them, and called them the Most Intelligent People of all Time, yet Newton gave all his thanks to Jesus Bar Abbas for fighting against the Roman Empire, for their Use of Money and Taxation, because he lived in such times still, and was in charge of the Mint, so he understood the Irony of it, as much as I do, since I work for the Military for the Banks, and also work for Money, the Root of All that is Evil, and it is why few know about Newton or Tesla, it is not that they try to hide the Truth, in fact, they make sure its Public Domain, because the Banks do not Lie, instead, they make it Legal, so the two Words and Different Spells but the same meaning, so its Witchcraft and Newton and Tesla are both Wizards; so when it comes down to what is the Truth, you can not use any Theory that was a result of what Albert Einstein wrote, because he only believed in Newton, so what other Science can Yew used to debunk Trinary Science, and that is what the Truth comes down to, those that will use Einstein to try to debunk Newtonian Science, is Insane, and incapable of rational thought, they are called Trolls of the Internet, and they are Liars, they have no Proof because Theories are never proven to a fact, so it is all based on a Belief System also known as BS, proving they are just Fools with no proof of anything they Believe in, and it is all because they believe they have the right to believe anything they want, so it is not surprising they Pay Taxes and think they are Free, or that the Constitution exist knowing the Banks Print the Money and Not Congress, because that is how you define Insanity, and why Mainstream has no Clue, they are Paid to only Protect Money, and Nikola Tesla, Isaac Newton, and Jesus Bar Abbas, were all about Freedom and not Money, proving Money Junkies would Rather Die believing in Christ and worship a Deity, then to believe in the Truth, because the Truth is they are Guilty of Treason if they admit this, I personally have no issues with admitting my Crime, and for the Record, my Caner is my Down Payment for my Crime, since it might Kill me before Taxes do, since I pay no Income Tax Legally, since I am Medically Retired, and trust me the Cancer was not worth a Tax Deduction, and why few people have a Clue when it comes to the Truth about anything, and no Clue whatsoever as what the Light is, when it is defined as Electromagnetic Energy, you should understand what that is, but God is All Light without Darkness, so God is also Electromagnetic Energy, in fact, God is just another Name for it.

If Electromagnetic Energy is caused by Atom's, in this case Free Atom's, meaning they are not bound by other Atom's, and thus are actually excessive amounts of Free Atom's, and in this case, they are Electrons, and Free means unbound Electrons, and this Teaching about Free Valances, or Valances in General, is Confusing, a Valance is what I call a Force Field Ring, and there are 3 Rings per Atom, meaning a Proton/Neutron that has an Electron orbiting it, and an Electron that orbits an Element that has no Proton or Neutron, a Non-Element, since it also has no Receptors, its Rings will have no Free Valances, Rings or Force Field is just a Term I used to mean Electromagnetic Energy, and I got the concept for this Term from J.R.R. Tolkien, who wrote about how Atom's have these Rings of Energy Levels around them, he was talking about Electron Valances, but he also wrote the Lord of the Rings, and it was a Story about this Energy that this Ring was made of, it was Forged in the Fire of Mordor, which sounds a lot like the stuff that glues bricks together, or Mortar spoke with a thick British accent, and in reality, it is just a Transmitter/Receiver, that tunes the wearer's Brainwaves into that of Sauron, so they would do his bidding, witch made me think about Religion and Mainstream Science, that Brainwashes people into believing in insane concepts, like believing in things that do not Physically Exist, as these Valances clearly do not Physically Exist, and why it is confusing to teach it that way, it is just an invisible Ring of Electromagnetic Energy, so my angiology should make it easy to understand this relationship as Tolkien did, its possible using Technology known as Magic, to Tune a Ring, not like you can Tune a Fish, but more like you Tune your Brainwaves, so Tolkien was talking in terms of Science, and what is possible, yet his story was really about how the Banks took over, and is much like the story of the Wizard of Oz, which was also about Money and Taxation, so it all comes down to what terms you used to teach a subject.

In terms of Electromagnetic Energy, we have a lot of terms that need to be understood, and the 3 Rings of Power is one of them, it follows the Laws of Physics, so its Gods Law, so count the Bindings of Protons and Neutrons, and start counting at 0, so 0 is the Trinary Element, and 1 is Hydrogen, and the other Elements in order of their Atomic Number, or count of how many Free Valances, or Receptors on the Rings of Power, which means how many Receptors an Element has, or how many other Elements can bind to it, and 0 can bind to a Trinary Element, and 1 can bind to a Hydrogen Element, as such: Electromagnetic Energy is all about these Bindings, it is all due to how we use Terms to describe it, for example: a Magnetic can be made of a limited amount of different types of materials, which is a lot by the way, and they all have one thing in common, they have too many Electrons to contain them in the Material, so they have to circulate around the Material, and flow is very predictable, it always flows from a less Negative to a more Positive flow, and the Strength depends on how many extra Electrons it has, which is why an Electromagnetic Magnets Energy is so powerful, it has an endless supply of Electrons feeding it, and if we can cause the Electrons to orbit around the Higher Power Rings, we can increase its Strength without having to increase its Electron flow, this Higher Power can be achieved by changing the Electricity's Frequency and Wavelength, and amperage, and by lowering the Atom's in the Materials temperature, this in effect causes more Electrons to orbit at a Higher Power within the Ring, and this Ring is seen on paper as two Rings that interlock, so it is this Ring that Binds us, and what Tolkien was talking about, real Science behind this phenomena, and why his books were so good, they were based on Real Science, because the only way you can change the Magnetic Signature of a Ring of Power, is to put it back in the Forge in which it was created, in the Case of Atom's, it is the Universe, as for the Ring, it was made of Gold, yet its bounds were of such a High Power, that its bounds could not be broken, this is due to Technology so its Magic, witch Magic is just unknown Technology, so only Wizards understand this type of Magic, so in terms of Electromagnetic Energy, there are many ways to make Rings of Power, so we must think of terms of Forging a Gold Ring, and it is Electromagnetic Energy that it records, just a Lava does, and understand that Electricity must Flow-through that Material when its Molten, and it will always reflex Local Deviations in Magnetic Lines of Force, and these are Recorded in all Rings ever made, so if one of them is tuned like that of Sauron, it is only but 1 of 9 of such Rings that were Forged in Mordor, just to Rule the others, so like Science, the Ruler is the Person who Wrote the Science, be it Tolkien's Science, Newton's, Tesla's or mine: Jeffrey Scott Flesher's, it is all Science in terms that People might understand, except for Mainstream Science that only Fools Claim to Understand. Tolkien understood Science better than most people, and he understood Newton and Tesla better than most people do, yet he decided to write about Science Fiction instead of Science, and I respect his decision, as I do his accomplishment, which was to tale a Story few understand in terms of Real Science, and in terms of Reality, since all he did was write about what was going on in Reality, in terms of Science and Technology, using the Psychology of Science Fiction to tale the story, as such all those that used the Gold Rings, worked for the Banks, as such it was Money that was always being called Precious, and why its actually called precious gold, all those that use it fall under its Spell, which is a term in Science known as Desire, Lust, Greed, and every other Sin known to Humans, the same Gold that Jesus Bar Abbas was Sold out for, just so Jesus Christ could take his place so Sinners could continue in Sin, and Kill all that do not believe that in His Name, which is a Lie created by those that Denied Bar/Abbas was their Savior, so Tolkien was very Intelligent to weave such a Fabrication of Truths into a Story that was not supposed to be Real, and why people can Relate to it, or the Wizard of Oz, because the Banks were going to foreclose on her Aunts and Uncles Farm, and there was no other way that the Banks would Pay anyone to make such a Movie, and People would Pay Money to see or read the Book, so now that these stories are known to tale a Story that the Author could not, not using Real Terms like Banks and Money, that are only Evil in these Stories, yet the Wizard of Oz was about the Electromagnetic Energy of a Tornado, and how it transformed Dorty into the Land of Oz, or Oz, meaning Ounce, as in an Ounce of Gold, witch was used to making the Ring of Power, so it is the same story about Electromagnetic Energy that Newton and Tesla talked about, but Mainstream would not allow anyone to talk, write or even dream about, and why this Trinary Science is unknown, because it holds the answers to all the Questions that the Wizards knew, and that is the Truth about what that story was all about.

The Prophet Wizard would make a Prediction, but me, Jeffrey Scott Flesher, not to write my name or speak of myself in the first term, but to point out who is writing this, and who would believe it, which include: Sir Isaac Newton, Nikola Tesla, and Albert Einstein, and they only cared about Facts, and I only care about the Facts, and like my Cousin Isaac Newton, I only write about what I can Prove, and I calculated that every Interval between Polar Shifts, is different, because it is based on the Land Mass Changes, during a Trinary Cycle change, and that is always changing, but not for a given Shift, because it is been proven that these shifts take place fast once they start, about 6 degrees an hour until complete, so this will not be dragged over decades of centuries, our Magnetosphere is weakening, and my Grandfathers recorded the rate of that decay, proving Newton's calculation is right on time, and no reason to believe that timeline is wrong, by the year 2060, our Magnetosphere will be so weak that the Planet will not be able to sustain most Lifeforms, I have skin cancer now, and I know that it is very common, so my guess is that this trend will continue, and more and more people will die of Cancer, and Science is what we can prove, and I can prove this Polar Shit or Electromagnetic Energy Reversal: will happen, and only time will prove if I was right about believing in Newton's Calculation, because it was based on the current rate of decay, and should yield the same result today, so for example: if the last Shift was let's say 166,666 years ago, and the one before that was 233,333 years ago, and before that, it was 333,333 years ago, so on average is about 233,333 years apart, so this is a Quickening, because the time is getting smaller, and not larger, and the Earths Magnetic Core Samples prove this, it is a cycle, after this one, the next one will be 233,333 years, then 333,333 years, and these are not fixed dates, but calculated periods of time, in this case, these intervals are known, the exact dates are always in controversy based on methods used to measure them, in this case, its how you count Rings of Energy, like a Tree, the Earth has these Rings as well, we call them the Rings of Time; also known as Core Samples, and these Rings are not Even, some are thick some are thin, some show an Ice Age, others show Global Warming, but they all show the same thing, the Truth about what is about to happen, and that is the Immediate Ice Age that always follows. We can see the weakening of the Electromagnetic Energy in our Magnetosphere, and the Global Warming it caused, sure the extra Carbon we humans added to the Mix did not help, but it is not the reason for Global Warming either, real Science proves that, the Earth can handle what we throw at it, even if it kills all life on the Planet, but it can not handle the lack of Oil to keep it Spinning Freely, so this will cause massive Earthquakes, and those are already starting, and we have been recording them for a long time, and now they are at an all-time high in frequency, so it is not hard to see what this will cause, as the grinding of Land Masses as they are expanded so the Oceans can find a new Sea Level, otherwise, the Land Masses will sink underwater, as the Oceans and Seas rise, as the IceCaps Melt, as a result of the weaker Electromagnetic Energy levels, we are currently having, as a precursor to a Polar Shift, so the Science is proven to be the truth, and only time will prove how accurate the calculation was.

If all the Calculation are Correct, and there are 3-period intervals for each Polar Shift, and the last one was shortest, this quickening would mean that the shortest one repeats, so the next cycle should be the shortest of the 3 periods, followed by two longer periods, which will also repeat on the long side of this cycle, but it is a pattern, much like every 2012 years the season's weather patterns repeat, take 2012 times 1024 which is 1 Kilobyte, and you get 206,0288: which is about the average period between Polar Shifts of the Earth, at least it is close to the official number most Scientists believe, and every decade our Suns Energy Reverses its Poles, and figuring there are 366 days in a leap Gregorian year and 365 for a none leap year, or 365.25 for a normal Julian year, so the way we keep track of time means we will get different calculations, based on what Calendar we use, and we know of a fact there are 3 cycle periods, regardless of how long we calculate that time to be, personally I like the Calculations, but I can not dismiss the actual measurements, but they are not the same, and I must point this out, current Science dates them closer to 170,000, and then 240,000, then 340,000, depending on whom you ask, these numbers are always changing, so the actual numbers do not matter, they are close to these numbers if you average all the others into this equation as I did, and why they are different from those printed, much different from the numbers Newton wrote down, and not really that important when it comes down to it, if he is right, it proves his starting point was right, and his interval periods were right, but it does not prove that Current Science is wrong, in fact, I believe numbers that are close to these, because they have a lot of data proving those numbers, and the truth is that results vary around the world, so time will tell if Newton was right about this, and I will not try to second guess him, only to point out that it might happen on 14 January 2060, I will be 99 years old, yet been alive for almost 100 years, since I was almost 10 months old when I was born, so I hope I was right about the time which is 6:32 PM, but this event is not like a clock, it is a slow process, and we have already begun it, our Magnetosphere will weaken, and then it will oscillate before starting to strengthen again, so for the first 2012 years, you can expect Ice, but it will take the Pole Shift years to complete, although I only measure it at the point where the Field Collapses, and that only happens for a minute at most, I have no way of guessing, and thinking it will take just a second is wishful thinking, reality teaches me that we are talking about a very large Electric Generator, and it is not going to react in real-time, it will find its own time, and will shift when it does, and how it does, regardless of any Calculation, I can do, but what it proves, is that our Planet has a Frequency and Wavelength, and this 3-period interval is because of the way Electromagnetic Energy flows around the planet, and how it travels in a Helix around the Galaxy, and travels through the Galaxy's Electromagnetic Energy Disk, which will clearly kill all life on this planet as we know it, so why would anyone think these Pole Shifts will happen, and we will not really notice it, is because those people have never looked at the evidence, those that have known that we might not survive this event, so it is easier not to Panic Stupid People who believe this will never happen, because the Evidence is clear, it is not if, its when, and that is what Newton wanted to Calculate, and so far, his calculation is right on time, so I have no reason to change my mind about when it will happen, in fact, I set the time, and now we will let time tell the truth of the Matter at Hand, as far as these 3 cycles go, history proves that, why they happen is clear, its Evolution, and Humans are about to go extinct, and instead of doing something about it, they chose Christ, and believe that this will not happen, and it is because they are Cowards that can not live with the Reality they Created, by Denying Jesus Bar Abbas, because then what Sir Isaac Newton told you, would not surprise you, and cause you to chose Extinction, instead of just believing in the truth, which is what Money really is, the Root of All that is Evil, and Reality is written by those that Print the Money instead of Congress, so you have to choose if you want to lay down and die by doing nothing, or if you want to Live, personally I will be so Old that I will want to Die, so I am not writing this for me, in fact, IAM writing this for Yew, a Stupid Sheep I named after this Tree called Taxus that was Poison to all Ewe, so my Reality is what I make of it, and how I chose to tale His-Story; because I would Love to Change this World, and I know just what to do, but if I leave it up to Yew, Yew will all Die in the Ice Age, and then Ewe would have nothing to eat, not even Poison called Taxus, so why hang on to Money that only Grows on Trees called Hemp, which is illegal to use in the Federal Government to this date, yet the Constitution was written on Hemp, and it was not Amended, only Major changes were made to it, like Suspending it till the Loan is paid off, so Reality sucks in the Trinary Universe, because we are all going to die because of Stupid Science, and the Stupid People that believed it.

All Energy is Electromagnetic Energy, that is just a fact that should not be debated, but I had to say it anyway, and I might have repeated this a few times to make sure you remember it, and that means all Energy is Trinary Energy.

< Chapter 2.08

> Chapter 2.10

Table of Contents
 
Page of